Get the free The odyssey part 2 questions and answers pdf. I am that ...
Show details
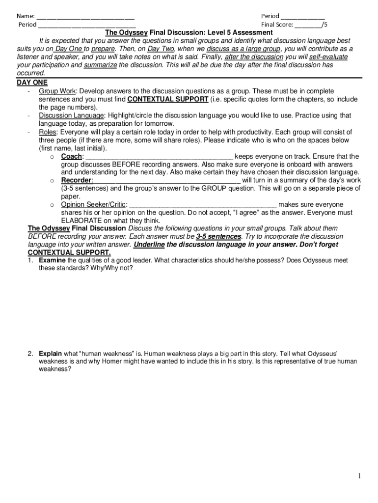
Name: ___ Period ___ Period ___ Final Score: ___/5 The Odyssey Final Discussion: Level 5 Assessment It is expected that you answer the questions in small groups and identify what discussion language
We are not affiliated with any brand or entity on this form
Get, Create, Make and Sign form odyssey part 2
Edit your form odyssey part 2 form online
Type text, complete fillable fields, insert images, highlight or blackout data for discretion, add comments, and more.
Add your legally-binding signature
Draw or type your signature, upload a signature image, or capture it with your digital camera.
Share your form instantly
Email, fax, or share your form odyssey part 2 form via URL. You can also download, print, or export forms to your preferred cloud storage service.
How to edit form odyssey part 2 online
Follow the guidelines below to use a professional PDF editor:
1
Log in. Click Start Free Trial and create a profile if necessary.
2
Prepare a file. Use the Add New button to start a new project. Then, using your device, upload your file to the system by importing it from internal mail, the cloud, or adding its URL.
3
Edit form odyssey part 2. Rearrange and rotate pages, add new and changed texts, add new objects, and use other useful tools. When you're done, click Done. You can use the Documents tab to merge, split, lock, or unlock your files.
4
Save your file. Select it from your records list. Then, click the right toolbar and select one of the various exporting options: save in numerous formats, download as PDF, email, or cloud.
It's easier to work with documents with pdfFiller than you can have ever thought. Sign up for a free account to view.
Uncompromising security for your PDF editing and eSignature needs
Your private information is safe with pdfFiller. We employ end-to-end encryption, secure cloud storage, and advanced access control to protect your documents and maintain regulatory compliance.
How to fill out form odyssey part 2
How to fill out form odyssey part 2
01
Read the instructions carefully before starting to fill out the form
02
Provide accurate and up-to-date information in each section
03
Double-check all information before submitting the form
04
Make sure to sign and date the form as required
05
Submit the completed form through the appropriate channel
Who needs form odyssey part 2?
01
Individuals seeking to continue their journey through the Odyssey program
02
Participants who are required to complete and submit the form as part of their program requirements
Fill
form
: Try Risk Free
For pdfFiller’s FAQs
Below is a list of the most common customer questions. If you can’t find an answer to your question, please don’t hesitate to reach out to us.
Where do I find form odyssey part 2?
The premium version of pdfFiller gives you access to a huge library of fillable forms (more than 25 million fillable templates). You can download, fill out, print, and sign them all. State-specific form odyssey part 2 and other forms will be easy to find in the library. Find the template you need and use advanced editing tools to make it your own.
How do I make edits in form odyssey part 2 without leaving Chrome?
Get and add pdfFiller Google Chrome Extension to your browser to edit, fill out and eSign your form odyssey part 2, which you can open in the editor directly from a Google search page in just one click. Execute your fillable documents from any internet-connected device without leaving Chrome.
How do I fill out form odyssey part 2 on an Android device?
Complete form odyssey part 2 and other documents on your Android device with the pdfFiller app. The software allows you to modify information, eSign, annotate, and share files. You may view your papers from anywhere with an internet connection.
What is form odyssey part 2?
Form Odyssey Part 2 is a government document used to report information related to financial activities.
Who is required to file form odyssey part 2?
Any individual or entity involved in financial transactions that meet the reporting requirements.
How to fill out form odyssey part 2?
Form Odyssey Part 2 can be filled out electronically or manually, following the instructions provided by the governing body.
What is the purpose of form odyssey part 2?
The purpose of Form Odyssey Part 2 is to track and monitor financial transactions for regulatory and compliance purposes.
What information must be reported on form odyssey part 2?
Information such as transaction details, financial institutions involved, and parties participating in the transactions.
Fill out your form odyssey part 2 online with pdfFiller!
pdfFiller is an end-to-end solution for managing, creating, and editing documents and forms in the cloud. Save time and hassle by preparing your tax forms online.
Form Odyssey Part 2 is not the form you're looking for?Search for another form here.
Relevant keywords
Related Forms
If you believe that this page should be taken down, please follow our DMCA take down process
here
.
This form may include fields for payment information. Data entered in these fields is not covered by PCI DSS compliance.