Get the free Business Development Services: Is the Pendulum ... - Cairn
Show details
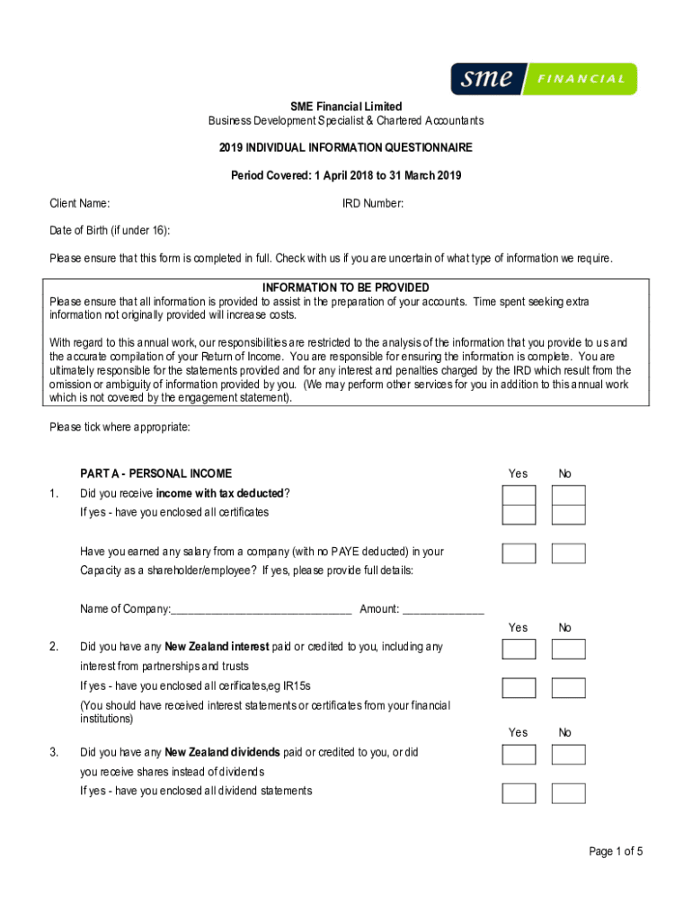
SME Financial Limited Business Development Specialist & Chartered Accountants 2019 INDIVIDUAL INFORMATION QUESTIONNAIRE Period Covered: 1 April 2018 to 31 March 2019 Client Name:IRD Number:Date of
We are not affiliated with any brand or entity on this form
Get, Create, Make and Sign business development services is
Edit your business development services is form online
Type text, complete fillable fields, insert images, highlight or blackout data for discretion, add comments, and more.
Add your legally-binding signature
Draw or type your signature, upload a signature image, or capture it with your digital camera.
Share your form instantly
Email, fax, or share your business development services is form via URL. You can also download, print, or export forms to your preferred cloud storage service.
How to edit business development services is online
To use the services of a skilled PDF editor, follow these steps:
1
Create an account. Begin by choosing Start Free Trial and, if you are a new user, establish a profile.
2
Prepare a file. Use the Add New button. Then upload your file to the system from your device, importing it from internal mail, the cloud, or by adding its URL.
3
Edit business development services is. Rearrange and rotate pages, add and edit text, and use additional tools. To save changes and return to your Dashboard, click Done. The Documents tab allows you to merge, divide, lock, or unlock files.
4
Get your file. Select your file from the documents list and pick your export method. You may save it as a PDF, email it, or upload it to the cloud.
It's easier to work with documents with pdfFiller than you can have believed. You can sign up for an account to see for yourself.
Uncompromising security for your PDF editing and eSignature needs
Your private information is safe with pdfFiller. We employ end-to-end encryption, secure cloud storage, and advanced access control to protect your documents and maintain regulatory compliance.
How to fill out business development services is
How to fill out business development services is
01
Identify your target market and their needs.
02
Create a strategic plan for attracting new clients and retaining existing ones.
03
Develop a pricing strategy that is competitive yet profitable.
04
Build relationships with potential partners and investors.
05
Utilize social media and other marketing channels to promote your services.
06
Continuously assess and adjust your business development strategies based on feedback and results.
Who needs business development services is?
01
Start-up companies looking to expand their customer base.
02
Established businesses seeking to enter new markets or launch new products.
03
Entrepreneurs in need of funding and support to grow their ventures.
04
Consultants or agencies offering services to help other businesses grow.
05
Any organization looking to improve their overall profitability and sustainability.
Fill
form
: Try Risk Free
For pdfFiller’s FAQs
Below is a list of the most common customer questions. If you can’t find an answer to your question, please don’t hesitate to reach out to us.
How can I edit business development services is from Google Drive?
By integrating pdfFiller with Google Docs, you can streamline your document workflows and produce fillable forms that can be stored directly in Google Drive. Using the connection, you will be able to create, change, and eSign documents, including business development services is, all without having to leave Google Drive. Add pdfFiller's features to Google Drive and you'll be able to handle your documents more effectively from any device with an internet connection.
How do I complete business development services is on an iOS device?
Make sure you get and install the pdfFiller iOS app. Next, open the app and log in or set up an account to use all of the solution's editing tools. If you want to open your business development services is, you can upload it from your device or cloud storage, or you can type the document's URL into the box on the right. After you fill in all of the required fields in the document and eSign it, if that is required, you can save or share it with other people.
Can I edit business development services is on an Android device?
With the pdfFiller mobile app for Android, you may make modifications to PDF files such as business development services is. Documents may be edited, signed, and sent directly from your mobile device. Install the app and you'll be able to manage your documents from anywhere.
What is business development services is?
Business development services refer to activities and support provided to help businesses grow and improve their performance.
Who is required to file business development services is?
Business owners or managers who are looking to expand their operations or improve their business strategies may be required to file for business development services.
How to fill out business development services is?
To fill out business development services, one must provide information about their business goals, current performance, target market, and strategies for growth.
What is the purpose of business development services is?
The purpose of business development services is to assist businesses in achieving their growth objectives, expanding their market reach, and enhancing their overall performance.
What information must be reported on business development services is?
Information such as current business performance, growth objectives, target market analysis, and strategies for business expansion must be reported on business development services.
Fill out your business development services is online with pdfFiller!
pdfFiller is an end-to-end solution for managing, creating, and editing documents and forms in the cloud. Save time and hassle by preparing your tax forms online.
Business Development Services Is is not the form you're looking for?Search for another form here.
Relevant keywords
Related Forms
If you believe that this page should be taken down, please follow our DMCA take down process
here
.
This form may include fields for payment information. Data entered in these fields is not covered by PCI DSS compliance.