Get the free Reclamation Process and Criteria for Oil and Gas Sites
Show details
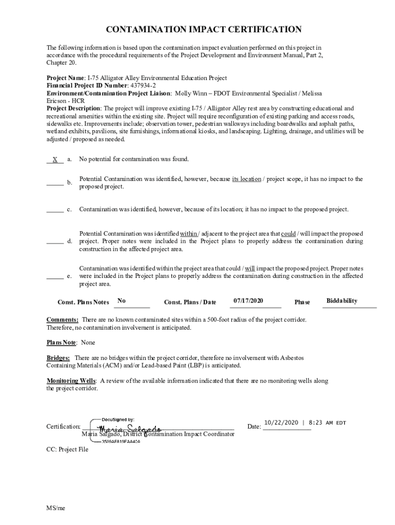
CONTAMINATION IMPACT CERTIFICATION The following information is based upon the contamination impact evaluation performed on this project in accordance with the procedural requirements of the Project
We are not affiliated with any brand or entity on this form
Get, Create, Make and Sign reclamation process and criteria
Edit your reclamation process and criteria form online
Type text, complete fillable fields, insert images, highlight or blackout data for discretion, add comments, and more.
Add your legally-binding signature
Draw or type your signature, upload a signature image, or capture it with your digital camera.
Share your form instantly
Email, fax, or share your reclamation process and criteria form via URL. You can also download, print, or export forms to your preferred cloud storage service.
How to edit reclamation process and criteria online
Follow the guidelines below to use a professional PDF editor:
1
Create an account. Begin by choosing Start Free Trial and, if you are a new user, establish a profile.
2
Upload a document. Select Add New on your Dashboard and transfer a file into the system in one of the following ways: by uploading it from your device or importing from the cloud, web, or internal mail. Then, click Start editing.
3
Edit reclamation process and criteria. Rearrange and rotate pages, add new and changed texts, add new objects, and use other useful tools. When you're done, click Done. You can use the Documents tab to merge, split, lock, or unlock your files.
4
Get your file. Select your file from the documents list and pick your export method. You may save it as a PDF, email it, or upload it to the cloud.
It's easier to work with documents with pdfFiller than you can have believed. You can sign up for an account to see for yourself.
Uncompromising security for your PDF editing and eSignature needs
Your private information is safe with pdfFiller. We employ end-to-end encryption, secure cloud storage, and advanced access control to protect your documents and maintain regulatory compliance.
How to fill out reclamation process and criteria
How to fill out reclamation process and criteria
01
Collect all necessary information related to the reclamation process, such as what the issue is and any supporting documentation.
02
Contact the appropriate department or individual responsible for handling reclamation requests.
03
Fill out the reclamation form completely and accurately, providing all required details.
04
Submit the completed form along with any supporting documents to the designated contact.
05
Follow up with the department or individual to ensure the reclamation process is being handled appropriately.
06
Wait for a response regarding the outcome of the reclamation process.
Who needs reclamation process and criteria?
01
Customers or clients who have experienced issues with a product or service and wish to file a complaint.
02
Companies or organizations looking to address and resolve customer complaints effectively.
03
Anyone involved in a dispute or disagreement that requires a formal process for resolution.
Fill
form
: Try Risk Free
For pdfFiller’s FAQs
Below is a list of the most common customer questions. If you can’t find an answer to your question, please don’t hesitate to reach out to us.
How do I make changes in reclamation process and criteria?
pdfFiller allows you to edit not only the content of your files, but also the quantity and sequence of the pages. Upload your reclamation process and criteria to the editor and make adjustments in a matter of seconds. Text in PDFs may be blacked out, typed in, and erased using the editor. You may also include photos, sticky notes, and text boxes, among other things.
How can I fill out reclamation process and criteria on an iOS device?
pdfFiller has an iOS app that lets you fill out documents on your phone. A subscription to the service means you can make an account or log in to one you already have. As soon as the registration process is done, upload your reclamation process and criteria. You can now use pdfFiller's more advanced features, like adding fillable fields and eSigning documents, as well as accessing them from any device, no matter where you are in the world.
How do I edit reclamation process and criteria on an Android device?
You can. With the pdfFiller Android app, you can edit, sign, and distribute reclamation process and criteria from anywhere with an internet connection. Take use of the app's mobile capabilities.
What is reclamation process and criteria?
The reclamation process and criteria involve the steps and requirements for reclaiming something that was previously lost, damaged, or not used as intended.
Who is required to file reclamation process and criteria?
Any individual or entity who needs to reclaim something or file a claim for reimbursement is required to follow the reclamation process and criteria.
How to fill out reclamation process and criteria?
To fill out the reclamation process and criteria, one must gather all necessary documentation, complete the required forms, and submit them according to the specified instructions.
What is the purpose of reclamation process and criteria?
The purpose of the reclamation process and criteria is to ensure that individuals or entities are able to reclaim lost or damaged items or resources in a systematic and fair manner.
What information must be reported on reclamation process and criteria?
The information reported on reclamation process and criteria typically includes details about the item or resource being reclaimed, the reason for the claim, and any supporting documentation.
Fill out your reclamation process and criteria online with pdfFiller!
pdfFiller is an end-to-end solution for managing, creating, and editing documents and forms in the cloud. Save time and hassle by preparing your tax forms online.
Reclamation Process And Criteria is not the form you're looking for?Search for another form here.
Relevant keywords
Related Forms
If you believe that this page should be taken down, please follow our DMCA take down process
here
.
This form may include fields for payment information. Data entered in these fields is not covered by PCI DSS compliance.