
Get the free Licensing - Entrepreneur Small Business Encyclopedia
Show details
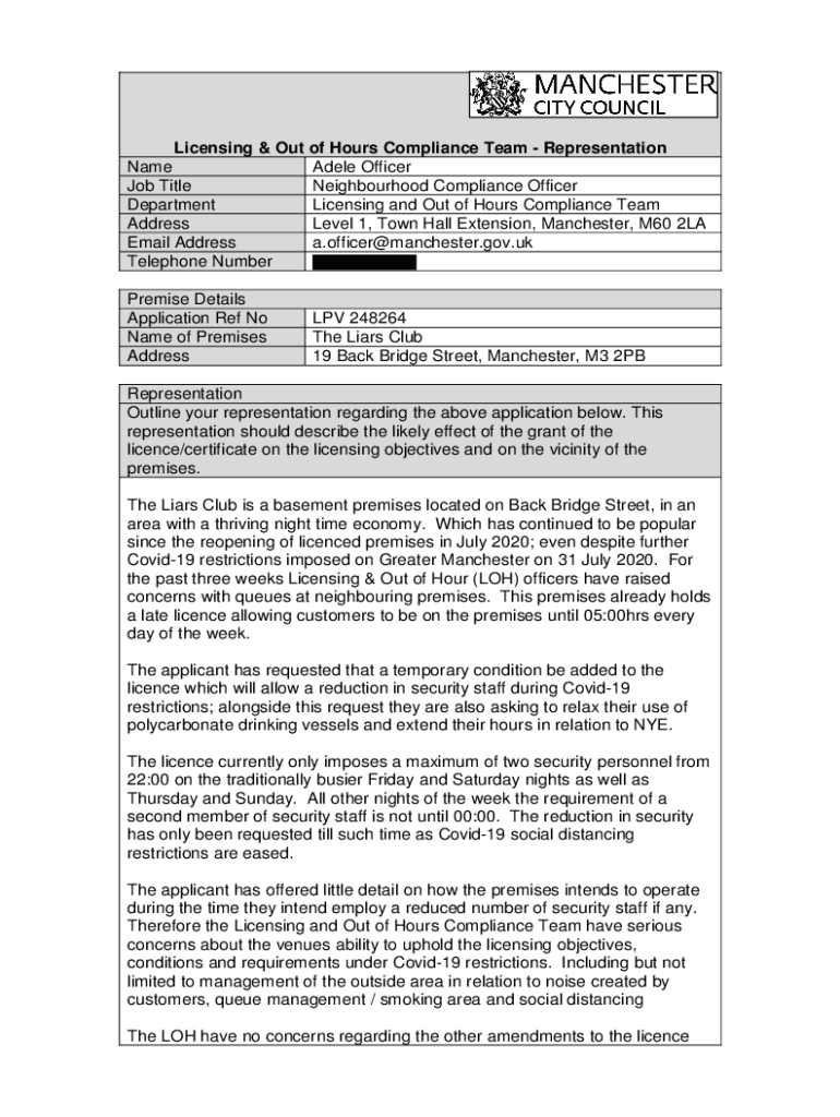
Licensing & Out of Hours Compliance Team Representation Name Adele Officer Job Title Neighborhood Compliance Officer Department Licensing and Out of Hours Compliance Team Address Level 1, Town Hall
We are not affiliated with any brand or entity on this form
Get, Create, Make and Sign licensing - entrepreneur small

Edit your licensing - entrepreneur small form online
Type text, complete fillable fields, insert images, highlight or blackout data for discretion, add comments, and more.

Add your legally-binding signature
Draw or type your signature, upload a signature image, or capture it with your digital camera.

Share your form instantly
Email, fax, or share your licensing - entrepreneur small form via URL. You can also download, print, or export forms to your preferred cloud storage service.
Editing licensing - entrepreneur small online
Follow the steps down below to use a professional PDF editor:
1
Register the account. Begin by clicking Start Free Trial and create a profile if you are a new user.
2
Simply add a document. Select Add New from your Dashboard and import a file into the system by uploading it from your device or importing it via the cloud, online, or internal mail. Then click Begin editing.
3
Edit licensing - entrepreneur small. Rearrange and rotate pages, insert new and alter existing texts, add new objects, and take advantage of other helpful tools. Click Done to apply changes and return to your Dashboard. Go to the Documents tab to access merging, splitting, locking, or unlocking functions.
4
Get your file. When you find your file in the docs list, click on its name and choose how you want to save it. To get the PDF, you can save it, send an email with it, or move it to the cloud.
Uncompromising security for your PDF editing and eSignature needs
Your private information is safe with pdfFiller. We employ end-to-end encryption, secure cloud storage, and advanced access control to protect your documents and maintain regulatory compliance.
How to fill out licensing - entrepreneur small

How to fill out licensing - entrepreneur small
01
Research the specific licensing requirements for your type of business, as they can vary depending on the industry and location.
02
Complete the necessary application forms and provide all required documentation, such as proof of identity, business registration, and any relevant qualifications or certifications.
03
Submit the application to the appropriate licensing authority and pay any required fees.
04
Wait for the application to be processed and approved, which may involve an inspection of your business premises.
05
Once approved, display your license prominently at your business location and ensure you comply with any ongoing licensing requirements, such as renewals or reporting obligations.
Who needs licensing - entrepreneur small?
01
Entrepreneurs running small businesses that operate in regulated industries or offer specific services may need to obtain licensing to legally operate.
02
Licensing requirements can vary greatly depending on the type of business and its location, so it is important for small business owners to research and comply with all necessary regulations.
Fill
form
: Try Risk Free
For pdfFiller’s FAQs
Below is a list of the most common customer questions. If you can’t find an answer to your question, please don’t hesitate to reach out to us.
How can I get licensing - entrepreneur small?
With pdfFiller, an all-in-one online tool for professional document management, it's easy to fill out documents. Over 25 million fillable forms are available on our website, and you can find the licensing - entrepreneur small in a matter of seconds. Open it right away and start making it your own with help from advanced editing tools.
How do I make changes in licensing - entrepreneur small?
pdfFiller not only allows you to edit the content of your files but fully rearrange them by changing the number and sequence of pages. Upload your licensing - entrepreneur small to the editor and make any required adjustments in a couple of clicks. The editor enables you to blackout, type, and erase text in PDFs, add images, sticky notes and text boxes, and much more.
How do I edit licensing - entrepreneur small straight from my smartphone?
You can do so easily with pdfFiller’s applications for iOS and Android devices, which can be found at the Apple Store and Google Play Store, respectively. Alternatively, you can get the app on our web page: https://edit-pdf-ios-android.pdffiller.com/. Install the application, log in, and start editing licensing - entrepreneur small right away.
What is licensing - entrepreneur small?
Licensing for small entrepreneurs refers to obtaining legal permission to operate a business or use a specific product or service.
Who is required to file licensing - entrepreneur small?
Small entrepreneurs who wish to legally operate their business or use a particular product or service are required to file for licensing.
How to fill out licensing - entrepreneur small?
To fill out licensing for small entrepreneurs, one must typically provide information about the business, products/services offered, location, ownership, and any required certifications or permits.
What is the purpose of licensing - entrepreneur small?
The purpose of licensing for small entrepreneurs is to ensure legal compliance, protect consumers, and regulate business activities.
What information must be reported on licensing - entrepreneur small?
Information such as business details, products/services offered, ownership details, location, certifications, permits, and any other relevant information must be reported on licensing for small entrepreneurs.
Fill out your licensing - entrepreneur small online with pdfFiller!
pdfFiller is an end-to-end solution for managing, creating, and editing documents and forms in the cloud. Save time and hassle by preparing your tax forms online.

Licensing - Entrepreneur Small is not the form you're looking for?Search for another form here.
Relevant keywords
Related Forms
If you believe that this page should be taken down, please follow our DMCA take down process
here
.
This form may include fields for payment information. Data entered in these fields is not covered by PCI DSS compliance.