
Get the free Dependency Override Request - Elizabeth City State University
Show details
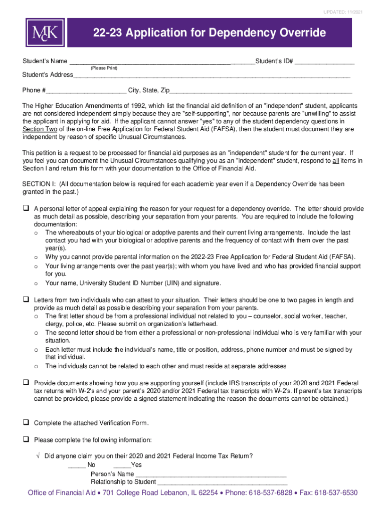
UPDATED: 11/20212223 Application for Dependency Override Students Name ___Students ID# ___ (Please Print)Student\'s Address___ Phone #___ City, State, Zip___ The Higher Education Amendments of 1992,
We are not affiliated with any brand or entity on this form
Get, Create, Make and Sign dependency override request

Edit your dependency override request form online
Type text, complete fillable fields, insert images, highlight or blackout data for discretion, add comments, and more.

Add your legally-binding signature
Draw or type your signature, upload a signature image, or capture it with your digital camera.

Share your form instantly
Email, fax, or share your dependency override request form via URL. You can also download, print, or export forms to your preferred cloud storage service.
How to edit dependency override request online
To use the services of a skilled PDF editor, follow these steps:
1
Register the account. Begin by clicking Start Free Trial and create a profile if you are a new user.
2
Prepare a file. Use the Add New button. Then upload your file to the system from your device, importing it from internal mail, the cloud, or by adding its URL.
3
Edit dependency override request. Add and change text, add new objects, move pages, add watermarks and page numbers, and more. Then click Done when you're done editing and go to the Documents tab to merge or split the file. If you want to lock or unlock the file, click the lock or unlock button.
4
Save your file. Select it from your records list. Then, click the right toolbar and select one of the various exporting options: save in numerous formats, download as PDF, email, or cloud.
Uncompromising security for your PDF editing and eSignature needs
Your private information is safe with pdfFiller. We employ end-to-end encryption, secure cloud storage, and advanced access control to protect your documents and maintain regulatory compliance.
How to fill out dependency override request

How to fill out dependency override request
01
Obtain the dependency override form from the financial aid office of your institution.
02
Review the eligibility criteria to determine if you meet the requirements for a dependency override.
03
Gather any supporting documentation, such as letters from a counselor, social worker, or other relevant professionals.
04
Fill out the form completely and accurately, providing detailed information about your situation and why you are seeking a dependency override.
05
Submit the completed form and supporting documentation to the financial aid office for review.
Who needs dependency override request?
01
Students who are unable to provide parental information on the FAFSA due to extenuating circumstances may need a dependency override request.
Fill
form
: Try Risk Free
For pdfFiller’s FAQs
Below is a list of the most common customer questions. If you can’t find an answer to your question, please don’t hesitate to reach out to us.
Can I create an electronic signature for the dependency override request in Chrome?
Yes. By adding the solution to your Chrome browser, you may use pdfFiller to eSign documents while also enjoying all of the PDF editor's capabilities in one spot. Create a legally enforceable eSignature by sketching, typing, or uploading a photo of your handwritten signature using the extension. Whatever option you select, you'll be able to eSign your dependency override request in seconds.
How do I edit dependency override request on an iOS device?
You can. Using the pdfFiller iOS app, you can edit, distribute, and sign dependency override request. Install it in seconds at the Apple Store. The app is free, but you must register to buy a subscription or start a free trial.
How do I complete dependency override request on an iOS device?
Install the pdfFiller app on your iOS device to fill out papers. Create an account or log in if you already have one. After registering, upload your dependency override request. You may now use pdfFiller's advanced features like adding fillable fields and eSigning documents from any device, anywhere.
What is dependency override request?
A dependency override request is a formal request made by a student to have their dependency status reevaluated in order to potentially be considered independent for financial aid purposes.
Who is required to file dependency override request?
Students who believe they have extenuating circumstances that warrant a reevaluation of their dependency status are required to file a dependency override request.
How to fill out dependency override request?
To fill out a dependency override request, students typically need to submit a written statement explaining their circumstances and provide any supporting documentation that may be required.
What is the purpose of dependency override request?
The purpose of a dependency override request is to allow students who do not meet the standard criteria for independent status to present their case for consideration based on unique circumstances.
What information must be reported on dependency override request?
Information reported on a dependency override request may include personal and financial details, as well as any documentation supporting the student's claim for independent status.
Fill out your dependency override request online with pdfFiller!
pdfFiller is an end-to-end solution for managing, creating, and editing documents and forms in the cloud. Save time and hassle by preparing your tax forms online.

Dependency Override Request is not the form you're looking for?Search for another form here.
Relevant keywords
Related Forms
If you believe that this page should be taken down, please follow our DMCA take down process
here
.
This form may include fields for payment information. Data entered in these fields is not covered by PCI DSS compliance.