Get the free Documents Required when Reporting for ... - Join Indian Army
Show details
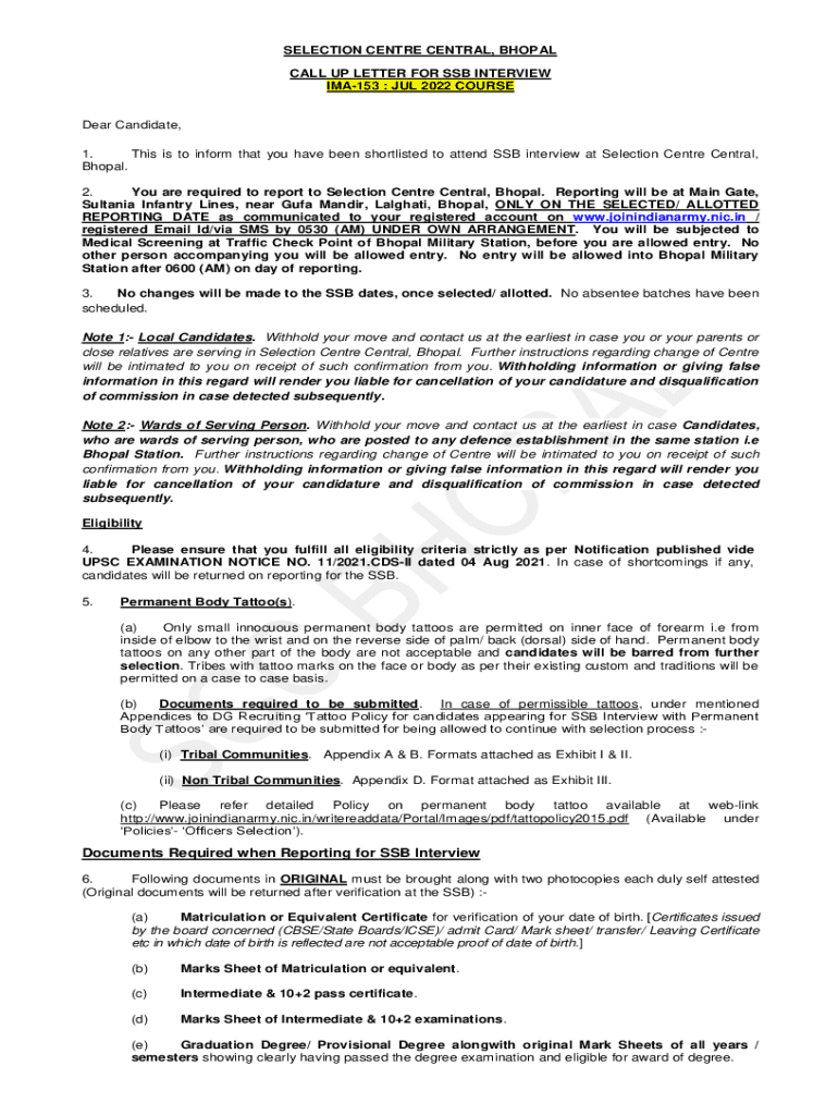
SELECTION Center CENTRAL, BHOPAL Calls UP LETTER FOR SSB INTERVIEW IMA153 : JUL 2022 COURSED ear Candidate, 1. This is to inform that you have been shortlisted to attend SSB interview at Selection
We are not affiliated with any brand or entity on this form
Get, Create, Make and Sign documents required when reporting
Edit your documents required when reporting form online
Type text, complete fillable fields, insert images, highlight or blackout data for discretion, add comments, and more.
Add your legally-binding signature
Draw or type your signature, upload a signature image, or capture it with your digital camera.
Share your form instantly
Email, fax, or share your documents required when reporting form via URL. You can also download, print, or export forms to your preferred cloud storage service.
How to edit documents required when reporting online
To use the professional PDF editor, follow these steps:
1
Set up an account. If you are a new user, click Start Free Trial and establish a profile.
2
Prepare a file. Use the Add New button. Then upload your file to the system from your device, importing it from internal mail, the cloud, or by adding its URL.
3
Edit documents required when reporting. Add and change text, add new objects, move pages, add watermarks and page numbers, and more. Then click Done when you're done editing and go to the Documents tab to merge or split the file. If you want to lock or unlock the file, click the lock or unlock button.
4
Save your file. Select it in the list of your records. Then, move the cursor to the right toolbar and choose one of the available exporting methods: save it in multiple formats, download it as a PDF, send it by email, or store it in the cloud.
pdfFiller makes working with documents easier than you could ever imagine. Register for an account and see for yourself!
Uncompromising security for your PDF editing and eSignature needs
Your private information is safe with pdfFiller. We employ end-to-end encryption, secure cloud storage, and advanced access control to protect your documents and maintain regulatory compliance.
How to fill out documents required when reporting
How to fill out documents required when reporting
01
Gather all necessary information and data needed for the reports
02
Ensure you have a clear understanding of the reporting requirements
03
Fill out the forms accurately and completely
04
Organize all supporting documents and evidence in a logical manner
05
Double check all information for accuracy and completeness before submitting
Who needs documents required when reporting?
01
Individuals or organizations who are required by law or regulations to submit reports
02
Companies or entities seeking to provide accurate and detailed information for decision-making purposes
Fill
form
: Try Risk Free
For pdfFiller’s FAQs
Below is a list of the most common customer questions. If you can’t find an answer to your question, please don’t hesitate to reach out to us.
How can I manage my documents required when reporting directly from Gmail?
documents required when reporting and other documents can be changed, filled out, and signed right in your Gmail inbox. You can use pdfFiller's add-on to do this, as well as other things. When you go to Google Workspace, you can find pdfFiller for Gmail. You should use the time you spend dealing with your documents and eSignatures for more important things, like going to the gym or going to the dentist.
How do I execute documents required when reporting online?
pdfFiller makes it easy to finish and sign documents required when reporting online. It lets you make changes to original PDF content, highlight, black out, erase, and write text anywhere on a page, legally eSign your form, and more, all from one place. Create a free account and use the web to keep track of professional documents.
How can I edit documents required when reporting on a smartphone?
Using pdfFiller's mobile-native applications for iOS and Android is the simplest method to edit documents on a mobile device. You may get them from the Apple App Store and Google Play, respectively. More information on the apps may be found here. Install the program and log in to begin editing documents required when reporting.
What is documents required when reporting?
The documents required when reporting typically include forms, financial statements, tax returns, and any relevant supporting documentation.
Who is required to file documents required when reporting?
Individuals, businesses, and organizations that meet specific regulatory or legal requirements are required to file documents when reporting.
How to fill out documents required when reporting?
To fill out the required documents, ensure you have accurate information, follow the provided instructions carefully, fill in all necessary fields, and review for errors before submission.
What is the purpose of documents required when reporting?
The purpose of these documents is to provide accurate information to regulatory bodies, ensure transparency, and comply with legal requirements.
What information must be reported on documents required when reporting?
Typically, the information that must be reported includes financial data, personal identification details, business activities, and any other relevant information specific to the reporting requirements.
Fill out your documents required when reporting online with pdfFiller!
pdfFiller is an end-to-end solution for managing, creating, and editing documents and forms in the cloud. Save time and hassle by preparing your tax forms online.
Documents Required When Reporting is not the form you're looking for?Search for another form here.
Relevant keywords
Related Forms
If you believe that this page should be taken down, please follow our DMCA take down process
here
.
This form may include fields for payment information. Data entered in these fields is not covered by PCI DSS compliance.