Get the free Final Narrative Report Form - Lumina Foundation
Show details
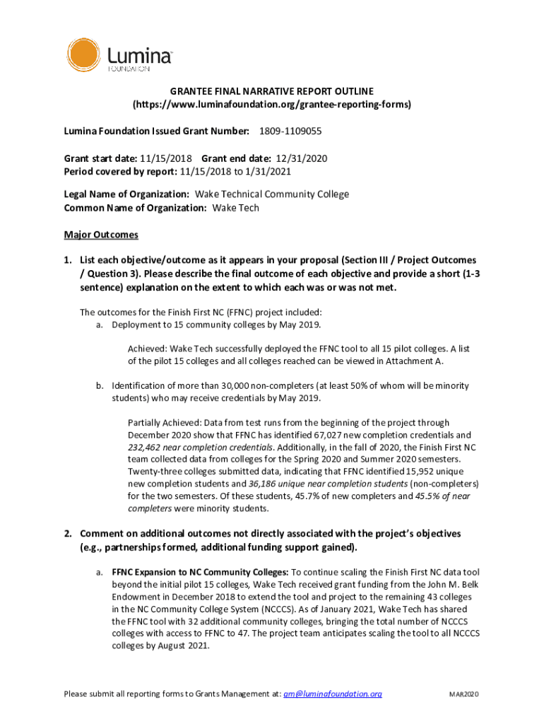
GRANTEE FINAL NARRATIVE REPORT OUTLINE (https://www.luminafoundation.org/granteereportingforms) Alumina Foundation Issued Grant Number: 18091109055 Grant start date: 11/15/2018 Grant end date: 12/31/2020
We are not affiliated with any brand or entity on this form
Get, Create, Make and Sign final narrative report form
Edit your final narrative report form form online
Type text, complete fillable fields, insert images, highlight or blackout data for discretion, add comments, and more.
Add your legally-binding signature
Draw or type your signature, upload a signature image, or capture it with your digital camera.
Share your form instantly
Email, fax, or share your final narrative report form form via URL. You can also download, print, or export forms to your preferred cloud storage service.
How to edit final narrative report form online
Use the instructions below to start using our professional PDF editor:
1
Create an account. Begin by choosing Start Free Trial and, if you are a new user, establish a profile.
2
Upload a file. Select Add New on your Dashboard and upload a file from your device or import it from the cloud, online, or internal mail. Then click Edit.
3
Edit final narrative report form. Replace text, adding objects, rearranging pages, and more. Then select the Documents tab to combine, divide, lock or unlock the file.
4
Save your file. Select it from your list of records. Then, move your cursor to the right toolbar and choose one of the exporting options. You can save it in multiple formats, download it as a PDF, send it by email, or store it in the cloud, among other things.
pdfFiller makes dealing with documents a breeze. Create an account to find out!
Uncompromising security for your PDF editing and eSignature needs
Your private information is safe with pdfFiller. We employ end-to-end encryption, secure cloud storage, and advanced access control to protect your documents and maintain regulatory compliance.
How to fill out final narrative report form
How to fill out final narrative report form
01
Gather all necessary information and data to be included in the final narrative report form.
02
Start by filling out the basic details such as the project name, duration, and objectives.
03
Provide a detailed description of the project activities and results achieved.
04
Include any challenges faced during the project implementation and how they were overcome.
05
Summarize the impact of the project on the target audience or beneficiaries.
06
Include any lessons learned and recommendations for future similar projects.
07
Proofread the report for any errors and ensure all required sections are filled out completely.
08
Submit the completed final narrative report form to the appropriate stakeholders or authorities.
Who needs final narrative report form?
01
Non-profit organizations
02
Government agencies
03
Project funders
04
Grant providers
05
Researchers
Fill
form
: Try Risk Free
For pdfFiller’s FAQs
Below is a list of the most common customer questions. If you can’t find an answer to your question, please don’t hesitate to reach out to us.
How do I execute final narrative report form online?
With pdfFiller, you may easily complete and sign final narrative report form online. It lets you modify original PDF material, highlight, blackout, erase, and write text anywhere on a page, legally eSign your document, and do a lot more. Create a free account to handle professional papers online.
How can I edit final narrative report form on a smartphone?
The pdfFiller mobile applications for iOS and Android are the easiest way to edit documents on the go. You may get them from the Apple Store and Google Play. More info about the applications here. Install and log in to edit final narrative report form.
How do I complete final narrative report form on an iOS device?
Install the pdfFiller app on your iOS device to fill out papers. If you have a subscription to the service, create an account or log in to an existing one. After completing the registration process, upload your final narrative report form. You may now use pdfFiller's advanced features, such as adding fillable fields and eSigning documents, and accessing them from any device, wherever you are.
What is final narrative report form?
The final narrative report form is a document that summarizes a project or program's activities, outcomes, and impacts.
Who is required to file final narrative report form?
The grant recipient or organization that received funding for the project or program is required to file the final narrative report form.
How to fill out final narrative report form?
To fill out the final narrative report form, provide detailed information about the project or program's activities, outcomes, and impacts in a clear and concise manner.
What is the purpose of final narrative report form?
The purpose of the final narrative report form is to evaluate the success and effectiveness of the project or program funded by the grant.
What information must be reported on final narrative report form?
The final narrative report form typically requires information on project activities, outcomes achieved, challenges faced, and any lessons learned.
Fill out your final narrative report form online with pdfFiller!
pdfFiller is an end-to-end solution for managing, creating, and editing documents and forms in the cloud. Save time and hassle by preparing your tax forms online.
Final Narrative Report Form is not the form you're looking for?Search for another form here.
Relevant keywords
Related Forms
If you believe that this page should be taken down, please follow our DMCA take down process
here
.
This form may include fields for payment information. Data entered in these fields is not covered by PCI DSS compliance.