Get the free Maps & SchedulesAlameda-Contra Costa Transit District
Show details
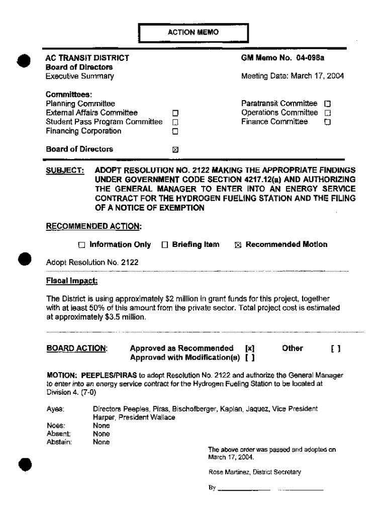
ACTIONMEMOGM Memo No. 04098aAC TRANSITDfSTRICT Board of Directors Summary ExecutiveMeetingDate:March17,2004Gommittees: PlanningCommittee ExternalAffairsCommittee try StudentPassProgramCommittee n
We are not affiliated with any brand or entity on this form
Get, Create, Make and Sign maps ampamp schedulesalameda-contra costa
Edit your maps ampamp schedulesalameda-contra costa form online
Type text, complete fillable fields, insert images, highlight or blackout data for discretion, add comments, and more.
Add your legally-binding signature
Draw or type your signature, upload a signature image, or capture it with your digital camera.
Share your form instantly
Email, fax, or share your maps ampamp schedulesalameda-contra costa form via URL. You can also download, print, or export forms to your preferred cloud storage service.
How to edit maps ampamp schedulesalameda-contra costa online
Use the instructions below to start using our professional PDF editor:
1
Log in. Click Start Free Trial and create a profile if necessary.
2
Upload a document. Select Add New on your Dashboard and transfer a file into the system in one of the following ways: by uploading it from your device or importing from the cloud, web, or internal mail. Then, click Start editing.
3
Edit maps ampamp schedulesalameda-contra costa. Rearrange and rotate pages, add and edit text, and use additional tools. To save changes and return to your Dashboard, click Done. The Documents tab allows you to merge, divide, lock, or unlock files.
4
Get your file. Select your file from the documents list and pick your export method. You may save it as a PDF, email it, or upload it to the cloud.
With pdfFiller, it's always easy to work with documents. Try it out!
Uncompromising security for your PDF editing and eSignature needs
Your private information is safe with pdfFiller. We employ end-to-end encryption, secure cloud storage, and advanced access control to protect your documents and maintain regulatory compliance.
How to fill out maps ampamp schedulesalameda-contra costa
How to fill out maps ampamp schedulesalameda-contra costa
01
Obtain the maps and schedules for Alameda-Contra Costa from the transportation agency.
02
Look for the route number or name of the bus or train you plan to take.
03
Check the timetable for the departure and arrival times of the transportation service.
04
Fill out the relevant information such as date, time, and destination on the map or schedule.
05
Keep the map or schedule handy for reference during your journey.
Who needs maps ampamp schedulesalameda-contra costa?
01
Commuters who rely on public transportation in the Alameda-Contra Costa area.
02
Tourists visiting the region and wanting to navigate the transportation system.
03
Residents who are unfamiliar with the routes and schedules of buses and trains in the area.
Fill
form
: Try Risk Free
For pdfFiller’s FAQs
Below is a list of the most common customer questions. If you can’t find an answer to your question, please don’t hesitate to reach out to us.
How do I edit maps ampamp schedulesalameda-contra costa online?
The editing procedure is simple with pdfFiller. Open your maps ampamp schedulesalameda-contra costa in the editor, which is quite user-friendly. You may use it to blackout, redact, write, and erase text, add photos, draw arrows and lines, set sticky notes and text boxes, and much more.
How do I edit maps ampamp schedulesalameda-contra costa in Chrome?
Install the pdfFiller Google Chrome Extension to edit maps ampamp schedulesalameda-contra costa and other documents straight from Google search results. When reading documents in Chrome, you may edit them. Create fillable PDFs and update existing PDFs using pdfFiller.
Can I create an electronic signature for the maps ampamp schedulesalameda-contra costa in Chrome?
Yes. You can use pdfFiller to sign documents and use all of the features of the PDF editor in one place if you add this solution to Chrome. In order to use the extension, you can draw or write an electronic signature. You can also upload a picture of your handwritten signature. There is no need to worry about how long it takes to sign your maps ampamp schedulesalameda-contra costa.
What is maps ampamp schedulesalameda-contra costa?
Maps and schedulesalameda-contra costa refer to the mapping and scheduling of transit routes and services in Alameda and Contra Costa counties.
Who is required to file maps ampamp schedulesalameda-contra costa?
Transit agencies and organizations operating in Alameda and Contra Costa counties are required to file maps and schedulesalameda-contra costa.
How to fill out maps ampamp schedulesalameda-contra costa?
Maps and schedulesalameda-contra costa can be filled out by submitting detailed information about transit routes, schedules, stops, and services provided within Alameda and Contra Costa counties.
What is the purpose of maps ampamp schedulesalameda-contra costa?
The purpose of maps and schedulesalameda-contra costa is to ensure transparency, accessibility, and efficiency in public transit operations in Alameda and Contra Costa counties.
What information must be reported on maps ampamp schedulesalameda-contra costa?
Information such as route maps, schedules, stop locations, service frequencies, and other relevant transit details must be reported on maps and schedulesalameda-contra costa.
Fill out your maps ampamp schedulesalameda-contra costa online with pdfFiller!
pdfFiller is an end-to-end solution for managing, creating, and editing documents and forms in the cloud. Save time and hassle by preparing your tax forms online.
Maps Ampamp Schedulesalameda-Contra Costa is not the form you're looking for?Search for another form here.
Relevant keywords
Related Forms
If you believe that this page should be taken down, please follow our DMCA take down process
here
.
This form may include fields for payment information. Data entered in these fields is not covered by PCI DSS compliance.