Get the free Europass Curriculum Vitae - UMFCD
Show details
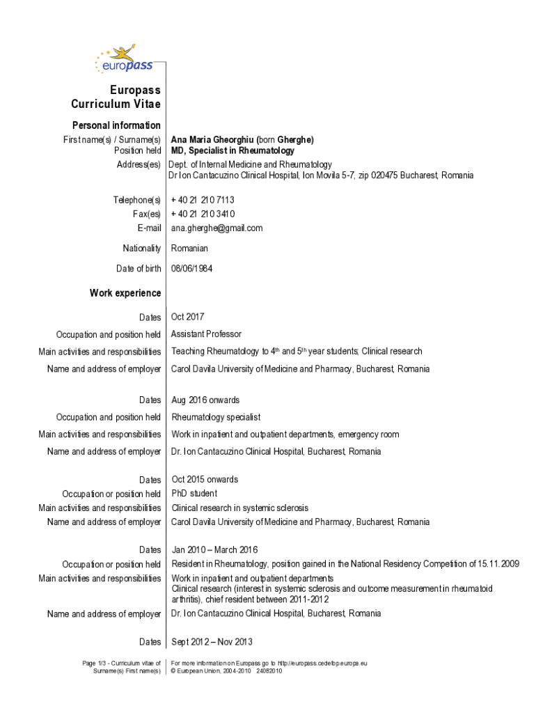
Euro pass Curriculum Vitae Personal information First name(s) / Surname(s) Position held Ana Maria Georgia (born There) MD, Specialist in RheumatologyAddress(BS) Dept. of Internal Medicine and Rheumatology
We are not affiliated with any brand or entity on this form
Get, Create, Make and Sign europass curriculum vitae
Edit your europass curriculum vitae form online
Type text, complete fillable fields, insert images, highlight or blackout data for discretion, add comments, and more.
Add your legally-binding signature
Draw or type your signature, upload a signature image, or capture it with your digital camera.
Share your form instantly
Email, fax, or share your europass curriculum vitae form via URL. You can also download, print, or export forms to your preferred cloud storage service.
How to edit europass curriculum vitae online
To use our professional PDF editor, follow these steps:
1
Create an account. Begin by choosing Start Free Trial and, if you are a new user, establish a profile.
2
Prepare a file. Use the Add New button to start a new project. Then, using your device, upload your file to the system by importing it from internal mail, the cloud, or adding its URL.
3
Edit europass curriculum vitae. Rearrange and rotate pages, add and edit text, and use additional tools. To save changes and return to your Dashboard, click Done. The Documents tab allows you to merge, divide, lock, or unlock files.
4
Get your file. Select the name of your file in the docs list and choose your preferred exporting method. You can download it as a PDF, save it in another format, send it by email, or transfer it to the cloud.
Dealing with documents is simple using pdfFiller.
Uncompromising security for your PDF editing and eSignature needs
Your private information is safe with pdfFiller. We employ end-to-end encryption, secure cloud storage, and advanced access control to protect your documents and maintain regulatory compliance.
How to fill out europass curriculum vitae
How to fill out europass curriculum vitae
01
Start by visiting the Europass website and selecting the CV template.
02
Fill in your personal information such as name, address, contact details, and nationality.
03
Include a professional summary or objective statement highlighting your skills and experience.
04
List your educational background starting with the most recent degree earned.
05
Add any relevant work experience including job title, dates of employment, and key responsibilities.
06
Include any additional skills or qualifications such as language proficiency or certifications.
07
Provide information on any volunteer work, internships, or extracurricular activities that demonstrate your abilities.
08
Review and edit your Europass CV for accuracy and completeness before saving or downloading it.
Who needs europass curriculum vitae?
01
Students applying for internships or study programs abroad.
02
Job seekers looking to work in European Union countries.
03
Professionals seeking opportunities in international organizations.
04
Employees applying for positions that require a standardized CV format.
Fill
form
: Try Risk Free
For pdfFiller’s FAQs
Below is a list of the most common customer questions. If you can’t find an answer to your question, please don’t hesitate to reach out to us.
How can I get europass curriculum vitae?
The premium version of pdfFiller gives you access to a huge library of fillable forms (more than 25 million fillable templates). You can download, fill out, print, and sign them all. State-specific europass curriculum vitae and other forms will be easy to find in the library. Find the template you need and use advanced editing tools to make it your own.
Can I sign the europass curriculum vitae electronically in Chrome?
Yes. By adding the solution to your Chrome browser, you can use pdfFiller to eSign documents and enjoy all of the features of the PDF editor in one place. Use the extension to create a legally-binding eSignature by drawing it, typing it, or uploading a picture of your handwritten signature. Whatever you choose, you will be able to eSign your europass curriculum vitae in seconds.
Can I edit europass curriculum vitae on an iOS device?
Create, edit, and share europass curriculum vitae from your iOS smartphone with the pdfFiller mobile app. Installing it from the Apple Store takes only a few seconds. You may take advantage of a free trial and select a subscription that meets your needs.
What is europass curriculum vitae?
Europass Curriculum Vitae is a standardized format for presenting one's skills and qualifications when applying for a job or educational opportunity.
Who is required to file europass curriculum vitae?
Anyone who is looking for a job or applying for an educational opportunity may choose to use Europass Curriculum Vitae to showcase their qualifications.
How to fill out europass curriculum vitae?
To fill out a Europass Curriculum Vitae, individuals can use the online editor provided on the Europass website to input their personal information, work experience, education, and skills.
What is the purpose of europass curriculum vitae?
The purpose of Europass Curriculum Vitae is to provide a standardized format for individuals to present their qualifications in a clear and effective manner.
What information must be reported on europass curriculum vitae?
The information that must be reported on Europass Curriculum Vitae includes personal details, work experience, education, skills, and any additional information that the individual wishes to include.
Fill out your europass curriculum vitae online with pdfFiller!
pdfFiller is an end-to-end solution for managing, creating, and editing documents and forms in the cloud. Save time and hassle by preparing your tax forms online.
Europass Curriculum Vitae is not the form you're looking for?Search for another form here.
Relevant keywords
Related Forms
If you believe that this page should be taken down, please follow our DMCA take down process
here
.
This form may include fields for payment information. Data entered in these fields is not covered by PCI DSS compliance.