
Get the free Inter & Intra Faculty TransferInternships & Student Affairs
Show details
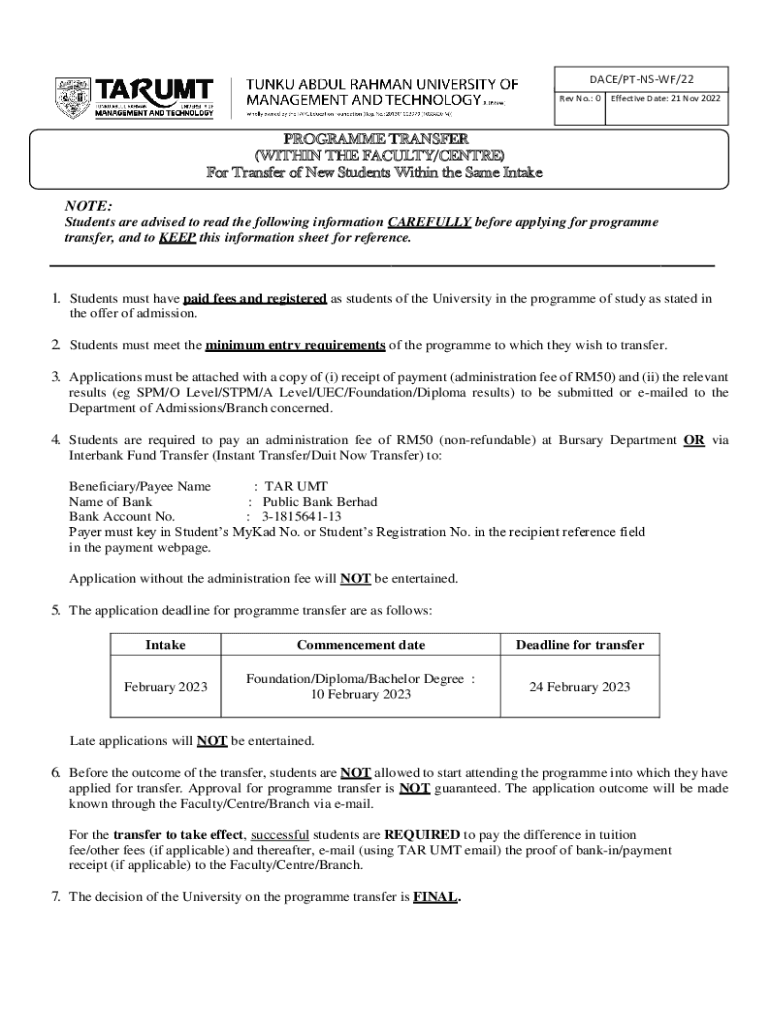
DACE/NSW/22 Rev No.: 0Effective Date: 21 Nov 2022PROGRAMME TRANSFER (WITHIN THE FACULTY/Center) For Transfer of New Students Within the Same Intake NOTE: Students are advised to read the following
We are not affiliated with any brand or entity on this form
Get, Create, Make and Sign inter ampamp intra faculty

Edit your inter ampamp intra faculty form online
Type text, complete fillable fields, insert images, highlight or blackout data for discretion, add comments, and more.

Add your legally-binding signature
Draw or type your signature, upload a signature image, or capture it with your digital camera.

Share your form instantly
Email, fax, or share your inter ampamp intra faculty form via URL. You can also download, print, or export forms to your preferred cloud storage service.
Editing inter ampamp intra faculty online
Follow the guidelines below to benefit from the PDF editor's expertise:
1
Register the account. Begin by clicking Start Free Trial and create a profile if you are a new user.
2
Upload a file. Select Add New on your Dashboard and upload a file from your device or import it from the cloud, online, or internal mail. Then click Edit.
3
Edit inter ampamp intra faculty. Rearrange and rotate pages, add new and changed texts, add new objects, and use other useful tools. When you're done, click Done. You can use the Documents tab to merge, split, lock, or unlock your files.
4
Save your file. Select it from your list of records. Then, move your cursor to the right toolbar and choose one of the exporting options. You can save it in multiple formats, download it as a PDF, send it by email, or store it in the cloud, among other things.
Dealing with documents is simple using pdfFiller. Now is the time to try it!
Uncompromising security for your PDF editing and eSignature needs
Your private information is safe with pdfFiller. We employ end-to-end encryption, secure cloud storage, and advanced access control to protect your documents and maintain regulatory compliance.
How to fill out inter ampamp intra faculty

How to fill out inter ampamp intra faculty
01
Consult with your academic advisor or faculty guidance counselor to determine which specific courses fall under inter and intra faculty requirements.
02
Obtain the necessary forms or online resources to make course selections and approvals.
03
Fill out the forms accurately, ensuring that you include all required information such as course codes, titles, and credit values.
04
Submit the completed forms to the appropriate department or faculty office for review and approval.
05
Keep a copy of the forms for your records and follow up with any additional requirements or instructions provided by the faculty.
Who needs inter ampamp intra faculty?
01
Students who are required to take courses from different departments or faculties to fulfill their academic program requirements.
02
Students who want to pursue interdisciplinary studies and gain diverse knowledge from various fields of study.
03
Students who are seeking to broaden their academic horizons and explore new subjects outside their major.
Fill
form
: Try Risk Free
For pdfFiller’s FAQs
Below is a list of the most common customer questions. If you can’t find an answer to your question, please don’t hesitate to reach out to us.
How can I manage my inter ampamp intra faculty directly from Gmail?
You may use pdfFiller's Gmail add-on to change, fill out, and eSign your inter ampamp intra faculty as well as other documents directly in your inbox by using the pdfFiller add-on for Gmail. pdfFiller for Gmail may be found on the Google Workspace Marketplace. Use the time you would have spent dealing with your papers and eSignatures for more vital tasks instead.
Can I create an electronic signature for signing my inter ampamp intra faculty in Gmail?
When you use pdfFiller's add-on for Gmail, you can add or type a signature. You can also draw a signature. pdfFiller lets you eSign your inter ampamp intra faculty and other documents right from your email. In order to keep signed documents and your own signatures, you need to sign up for an account.
How can I fill out inter ampamp intra faculty on an iOS device?
Install the pdfFiller app on your iOS device to fill out papers. If you have a subscription to the service, create an account or log in to an existing one. After completing the registration process, upload your inter ampamp intra faculty. You may now use pdfFiller's advanced features, such as adding fillable fields and eSigning documents, and accessing them from any device, wherever you are.
What is inter ampamp intra faculty?
Inter and intra faculty refer to collaborative activities and coordination between different faculties within an institution (intra) and between different institutions (inter).
Who is required to file inter ampamp intra faculty?
Typically, academic departments, faculty members engaged in joint programs, and administrative bodies involved in inter- and intra-faculty collaborations are required to file.
How to fill out inter ampamp intra faculty?
To fill out the inter or intra faculty form, one must provide detailed information about the collaboration, including participating departments, objectives, and resources needed.
What is the purpose of inter ampamp intra faculty?
The purpose of inter and intra faculty filing is to ensure proper coordination, allocation of resources, and adherence to academic regulations in collaborative endeavors.
What information must be reported on inter ampamp intra faculty?
Information that must be reported includes the names of involved faculties, the nature of collaboration, expected outcomes, and resource requirements.
Fill out your inter ampamp intra faculty online with pdfFiller!
pdfFiller is an end-to-end solution for managing, creating, and editing documents and forms in the cloud. Save time and hassle by preparing your tax forms online.

Inter Ampamp Intra Faculty is not the form you're looking for?Search for another form here.
Relevant keywords
Related Forms
If you believe that this page should be taken down, please follow our DMCA take down process
here
.
This form may include fields for payment information. Data entered in these fields is not covered by PCI DSS compliance.