Form preview

Get the free How to Propose a New Member - Rotary Club of Bracebridge

Get Form
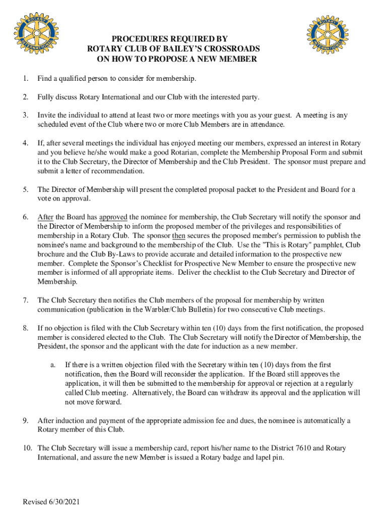
PROCEDURES REQUIRED BY ROTARY CLUB OF BAILEYS CROSSROADS ON HOW TO PROPOSE A NEW MEMBER 1. Find a qualified person to consider for membership.2. Fully discuss Rotary International and our Club with
We are not affiliated with any brand or entity on this form

Get, Create, Make and Sign how to propose a

Edit
Edit your how to propose a form online
Type text, complete fillable fields, insert images, highlight or blackout data for discretion, add comments, and more.
Add
Add your legally-binding signature
Draw or type your signature, upload a signature image, or capture it with your digital camera.
Share
Share your form instantly
Email, fax, or share your how to propose a form via URL. You can also download, print, or export forms to your preferred cloud storage service.

Editing how to propose a online

9.5
Ease of Setup
pdfFiller User Ratings on G2
9.0
Ease of Use
pdfFiller User Ratings on G2
Use the instructions below to start using our professional PDF editor:
1
Log in to your account. Click on Start Free Trial and register a profile if you don't have one.
2
Prepare a file. Use the Add New button to start a new project. Then, using your device, upload your file to the system by importing it from internal mail, the cloud, or adding its URL.
3
Edit how to propose a. Add and change text, add new objects, move pages, add watermarks and page numbers, and more. Then click Done when you're done editing and go to the Documents tab to merge or split the file. If you want to lock or unlock the file, click the lock or unlock button.
4
Get your file. Select your file from the documents list and pick your export method. You may save it as a PDF, email it, or upload it to the cloud.
pdfFiller makes dealing with documents a breeze. Create an account to find out!

Uncompromising security for your PDF editing and eSignature needs

Your private information is safe with pdfFiller. We employ end-to-end encryption, secure cloud storage, and advanced access control to protect your documents and maintain regulatory compliance.
GDPR
AICPA SOC 2
PCI
HIPAA
CCPA
FDA

How to fill out how to propose a

Illustration

How to fill out how to propose a

01
Identify the purpose of the proposal.
02
Research and gather all necessary information.
03
Outline the proposal with an executive summary, statement of need, objectives, methodology, timeframe, budget, and conclusion.
04
Write a draft proposal and revise it for clarity and coherence.
05
Proofread and edit the final proposal before submission.

Who needs how to propose a?

01
Anyone who wants to present a formal plan for a project or initiative.
02
Students working on a research project or thesis.
03
Business professionals seeking funding or approval for a new idea or strategy.
Fill form : Try Risk Free
Users Most Likely To Recommend - Summer 2025
Grid Leader in Small-Business - Summer 2025
High Performer - Summer 2025
Regional Leader - Summer 2025
Easiest To Do Business With - Summer 2025
Best Meets Requirements- Summer 2025
Rate the form
4.7
Satisfied
42 Votes

For pdfFiller’s FAQs

Below is a list of the most common customer questions. If you can’t find an answer to your question, please don’t hesitate to reach out to us.

It's easy to use pdfFiller's Gmail add-on to make and edit your how to propose a and any other documents you get right in your email. You can also eSign them. Take a look at the Google Workspace Marketplace and get pdfFiller for Gmail. Get rid of the time-consuming steps and easily manage your documents and eSignatures with the help of an app.
pdfFiller and Google Docs can be used together to make your documents easier to work with and to make fillable forms right in your Google Drive. The integration will let you make, change, and sign documents, like how to propose a, without leaving Google Drive. Add pdfFiller's features to Google Drive, and you'll be able to do more with your paperwork on any internet-connected device.
pdfFiller has made it simple to fill out and eSign how to propose a. The application has capabilities that allow you to modify and rearrange PDF content, add fillable fields, and eSign the document. Begin a free trial to discover all of the features of pdfFiller, the best document editing solution.
How to propose a is a process of presenting an idea or plan for consideration or approval.
Anyone who wants to propose an idea or plan may be required to file how to propose a.
To fill out how to propose a, you typically need to provide details of the proposal, any supporting evidence or research, and the desired outcome.
The purpose of how to propose a is to formally present an idea or plan for consideration and potential approval.
The information reported on how to propose a may include the proposal details, supporting evidence, desired outcomes, and any relevant background information.
Fill out your how to propose a online with pdfFiller!

pdfFiller is an end-to-end solution for managing, creating, and editing documents and forms in the cloud. Save time and hassle by preparing your tax forms online.

Get started now
Form preview
If you believe that this page should be taken down, please follow our DMCA take down process here .
This form may include fields for payment information. Data entered in these fields is not covered by PCI DSS compliance.