
Get the free Lead Associate Salaries in Ontario for PetSmartIndeed.com
Show details
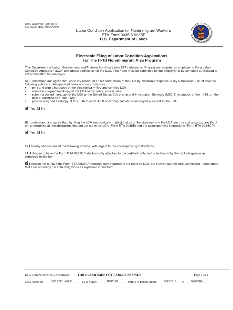
OMB Approval: 12050310
Expiration Date: 05/31/2018Labor Condition Application for Nonimmigrant Workers
ETA Form 9035 & 9035E
U.S. Department of LaborElectronic Filing of Labor Condition Applications
For
We are not affiliated with any brand or entity on this form
Get, Create, Make and Sign lead associate salaries in

Edit your lead associate salaries in form online
Type text, complete fillable fields, insert images, highlight or blackout data for discretion, add comments, and more.

Add your legally-binding signature
Draw or type your signature, upload a signature image, or capture it with your digital camera.

Share your form instantly
Email, fax, or share your lead associate salaries in form via URL. You can also download, print, or export forms to your preferred cloud storage service.
Editing lead associate salaries in online
To use the professional PDF editor, follow these steps below:
1
Create an account. Begin by choosing Start Free Trial and, if you are a new user, establish a profile.
2
Prepare a file. Use the Add New button to start a new project. Then, using your device, upload your file to the system by importing it from internal mail, the cloud, or adding its URL.
3
Edit lead associate salaries in. Replace text, adding objects, rearranging pages, and more. Then select the Documents tab to combine, divide, lock or unlock the file.
4
Get your file. Select the name of your file in the docs list and choose your preferred exporting method. You can download it as a PDF, save it in another format, send it by email, or transfer it to the cloud.
Uncompromising security for your PDF editing and eSignature needs
Your private information is safe with pdfFiller. We employ end-to-end encryption, secure cloud storage, and advanced access control to protect your documents and maintain regulatory compliance.
How to fill out lead associate salaries in

How to fill out lead associate salaries in
01
Obtain the necessary information on lead associate salaries from the HR department or relevant sources.
02
Input the salary figures into the designated fields on the form or database.
03
Double-check the accuracy of the information filled out.
04
Submit the completed form or data entry for review and approval.
Who needs lead associate salaries in?
01
Companies looking to set competitive salaries for lead associates.
02
HR departments needing to track and update salary data for lead associates.
03
Managers and supervisors responsible for allocating budget and compensation for lead associates.
Fill
form
: Try Risk Free
For pdfFiller’s FAQs
Below is a list of the most common customer questions. If you can’t find an answer to your question, please don’t hesitate to reach out to us.
How do I make changes in lead associate salaries in?
The editing procedure is simple with pdfFiller. Open your lead associate salaries in in the editor. You may also add photos, draw arrows and lines, insert sticky notes and text boxes, and more.
How do I edit lead associate salaries in in Chrome?
Install the pdfFiller Google Chrome Extension in your web browser to begin editing lead associate salaries in and other documents right from a Google search page. When you examine your documents in Chrome, you may make changes to them. With pdfFiller, you can create fillable documents and update existing PDFs from any internet-connected device.
How do I complete lead associate salaries in on an iOS device?
In order to fill out documents on your iOS device, install the pdfFiller app. Create an account or log in to an existing one if you have a subscription to the service. Once the registration process is complete, upload your lead associate salaries in. You now can take advantage of pdfFiller's advanced functionalities: adding fillable fields and eSigning documents, and accessing them from any device, wherever you are.
What is lead associate salaries in?
Lead associate salaries typically refer to the compensation paid to employees in a lead associate position.
Who is required to file lead associate salaries in?
Employers who have lead associates on their payroll are required to file lead associate salaries in.
How to fill out lead associate salaries in?
Lead associate salaries can be filled out by providing the compensation details of individuals in lead associate roles within the organization.
What is the purpose of lead associate salaries in?
The purpose of lead associate salaries is to ensure transparency and compliance with labor laws regarding compensation.
What information must be reported on lead associate salaries in?
Information such as salary, bonuses, benefits, and any other forms of compensation for lead associates must be reported.
Fill out your lead associate salaries in online with pdfFiller!
pdfFiller is an end-to-end solution for managing, creating, and editing documents and forms in the cloud. Save time and hassle by preparing your tax forms online.

Lead Associate Salaries In is not the form you're looking for?Search for another form here.
Relevant keywords
Related Forms
If you believe that this page should be taken down, please follow our DMCA take down process
here
.
This form may include fields for payment information. Data entered in these fields is not covered by PCI DSS compliance.