
Get the free Three Rivers District Health Department: Home
Show details
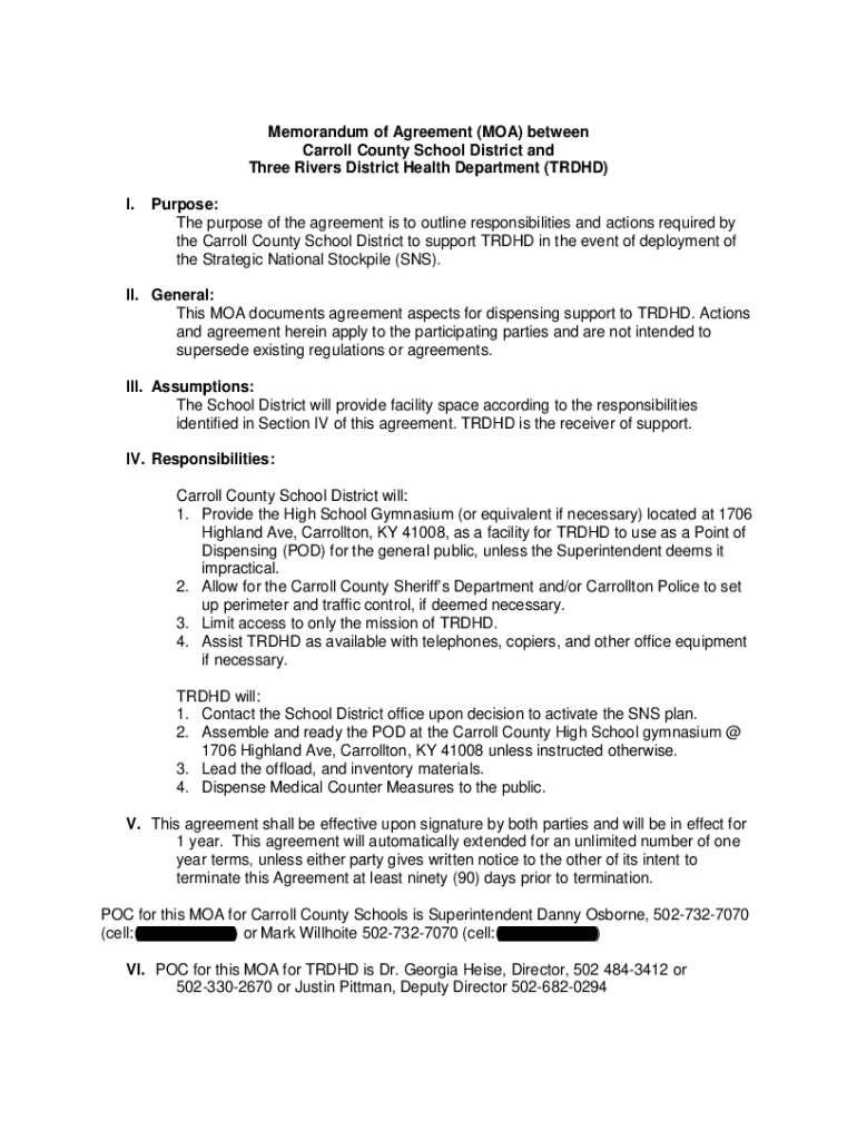
Memorandum of Agreement (MOA) between Carroll County School District and Three Rivers District Health Department (TRIED) I. Purpose: The purpose of the agreement is to outline responsibilities and
We are not affiliated with any brand or entity on this form
Get, Create, Make and Sign three rivers district health

Edit your three rivers district health form online
Type text, complete fillable fields, insert images, highlight or blackout data for discretion, add comments, and more.

Add your legally-binding signature
Draw or type your signature, upload a signature image, or capture it with your digital camera.

Share your form instantly
Email, fax, or share your three rivers district health form via URL. You can also download, print, or export forms to your preferred cloud storage service.
How to edit three rivers district health online
Follow the guidelines below to use a professional PDF editor:
1
Set up an account. If you are a new user, click Start Free Trial and establish a profile.
2
Prepare a file. Use the Add New button. Then upload your file to the system from your device, importing it from internal mail, the cloud, or by adding its URL.
3
Edit three rivers district health. Rearrange and rotate pages, add new and changed texts, add new objects, and use other useful tools. When you're done, click Done. You can use the Documents tab to merge, split, lock, or unlock your files.
4
Get your file. Select the name of your file in the docs list and choose your preferred exporting method. You can download it as a PDF, save it in another format, send it by email, or transfer it to the cloud.
With pdfFiller, dealing with documents is always straightforward.
Uncompromising security for your PDF editing and eSignature needs
Your private information is safe with pdfFiller. We employ end-to-end encryption, secure cloud storage, and advanced access control to protect your documents and maintain regulatory compliance.
How to fill out three rivers district health

How to fill out three rivers district health
01
Obtain the Three Rivers District Health form from the designated source.
02
Fill out the form completely with accurate and up-to-date information.
03
Make sure to provide all required documentation and supporting information as mentioned on the form.
04
Review the filled-out form for any errors or missing information before submission.
05
Submit the completed form to the designated office or online portal as per the instructions provided.
Who needs three rivers district health?
01
Individuals residing in the Three Rivers District area who require healthcare services or information.
02
Healthcare providers who need to report cases or submit relevant documentation to the district health authorities.
03
Businesses or organizations in the district that need to comply with health regulations and guidelines.
Fill
form
: Try Risk Free
For pdfFiller’s FAQs
Below is a list of the most common customer questions. If you can’t find an answer to your question, please don’t hesitate to reach out to us.
How can I send three rivers district health to be eSigned by others?
Once your three rivers district health is ready, you can securely share it with recipients and collect eSignatures in a few clicks with pdfFiller. You can send a PDF by email, text message, fax, USPS mail, or notarize it online - right from your account. Create an account now and try it yourself.
How can I get three rivers district health?
The premium version of pdfFiller gives you access to a huge library of fillable forms (more than 25 million fillable templates). You can download, fill out, print, and sign them all. State-specific three rivers district health and other forms will be easy to find in the library. Find the template you need and use advanced editing tools to make it your own.
Can I sign the three rivers district health electronically in Chrome?
Yes. By adding the solution to your Chrome browser, you may use pdfFiller to eSign documents while also enjoying all of the PDF editor's capabilities in one spot. Create a legally enforceable eSignature by sketching, typing, or uploading a photo of your handwritten signature using the extension. Whatever option you select, you'll be able to eSign your three rivers district health in seconds.
What is three rivers district health?
Three Rivers District Health is a governmental organization that works to promote and protect the health of residents within the district.
Who is required to file three rivers district health?
All healthcare facilities operating within the Three Rivers District are required to file a report with the district health department.
How to fill out three rivers district health?
Healthcare facilities need to complete the required forms provided by the Three Rivers District Health Department and submit them by the deadline.
What is the purpose of three rivers district health?
The purpose of Three Rivers District Health is to monitor and improve public health outcomes within the district.
What information must be reported on three rivers district health?
Healthcare facilities must report data on patient demographics, health outcomes, and any infectious disease incidents.
Fill out your three rivers district health online with pdfFiller!
pdfFiller is an end-to-end solution for managing, creating, and editing documents and forms in the cloud. Save time and hassle by preparing your tax forms online.

Three Rivers District Health is not the form you're looking for?Search for another form here.
Relevant keywords
Related Forms
If you believe that this page should be taken down, please follow our DMCA take down process
here
.
This form may include fields for payment information. Data entered in these fields is not covered by PCI DSS compliance.