Get the free Florida State Information Packet 2020-2021
Show details
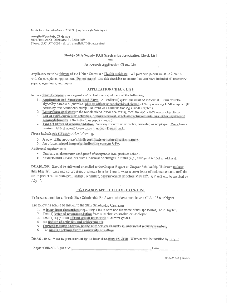
Florida State Information Packet 20192021 I Kay Yarbrough, State RegentAnnelle Blanchet, Chairman 5034 Flagstone Ct, Tallahassee, FL 323036839Phone: (850) 5672099 Email: anne1le0570@comcast.net Florida
We are not affiliated with any brand or entity on this form
Get, Create, Make and Sign florida state information packet
Edit your florida state information packet form online
Type text, complete fillable fields, insert images, highlight or blackout data for discretion, add comments, and more.
Add your legally-binding signature
Draw or type your signature, upload a signature image, or capture it with your digital camera.
Share your form instantly
Email, fax, or share your florida state information packet form via URL. You can also download, print, or export forms to your preferred cloud storage service.
How to edit florida state information packet online
Here are the steps you need to follow to get started with our professional PDF editor:
1
Log in to your account. Start Free Trial and sign up a profile if you don't have one.
2
Prepare a file. Use the Add New button to start a new project. Then, using your device, upload your file to the system by importing it from internal mail, the cloud, or adding its URL.
3
Edit florida state information packet. Rearrange and rotate pages, insert new and alter existing texts, add new objects, and take advantage of other helpful tools. Click Done to apply changes and return to your Dashboard. Go to the Documents tab to access merging, splitting, locking, or unlocking functions.
4
Save your file. Choose it from the list of records. Then, shift the pointer to the right toolbar and select one of the several exporting methods: save it in multiple formats, download it as a PDF, email it, or save it to the cloud.
Dealing with documents is simple using pdfFiller.
Uncompromising security for your PDF editing and eSignature needs
Your private information is safe with pdfFiller. We employ end-to-end encryption, secure cloud storage, and advanced access control to protect your documents and maintain regulatory compliance.
How to fill out florida state information packet
How to fill out florida state information packet
01
Obtain a copy of the Florida state information packet from the appropriate government agency or website.
02
Review the instructions carefully to ensure you understand what information needs to be provided.
03
Fill out each section of the packet accurately and completely.
04
Double check all information for accuracy before submitting the packet.
05
Submit the completed packet to the relevant office or agency according to the instructions provided.
Who needs florida state information packet?
01
Individuals who are applying for a driver's license in Florida
02
Individuals who are applying for a state ID card in Florida
03
Individuals who are registering a vehicle in Florida
04
Individuals who are applying for government assistance programs in Florida
05
Individuals who are involved in legal proceedings in Florida
Fill
form
: Try Risk Free
For pdfFiller’s FAQs
Below is a list of the most common customer questions. If you can’t find an answer to your question, please don’t hesitate to reach out to us.
How do I modify my florida state information packet in Gmail?
In your inbox, you may use pdfFiller's add-on for Gmail to generate, modify, fill out, and eSign your florida state information packet and any other papers you receive, all without leaving the program. Install pdfFiller for Gmail from the Google Workspace Marketplace by visiting this link. Take away the need for time-consuming procedures and handle your papers and eSignatures with ease.
How do I edit florida state information packet straight from my smartphone?
The pdfFiller mobile applications for iOS and Android are the easiest way to edit documents on the go. You may get them from the Apple Store and Google Play. More info about the applications here. Install and log in to edit florida state information packet.
How can I fill out florida state information packet on an iOS device?
In order to fill out documents on your iOS device, install the pdfFiller app. Create an account or log in to an existing one if you have a subscription to the service. Once the registration process is complete, upload your florida state information packet. You now can take advantage of pdfFiller's advanced functionalities: adding fillable fields and eSigning documents, and accessing them from any device, wherever you are.
What is florida state information packet?
The Florida State Information Packet is a set of forms and documents that businesses are required to submit to the state of Florida in order to provide important information about their company.
Who is required to file florida state information packet?
All businesses operating in the state of Florida are required to file the Florida State Information Packet.
How to fill out florida state information packet?
The Florida State Information Packet can be filled out online through the state's official website or by mail using the paper forms provided.
What is the purpose of florida state information packet?
The purpose of the Florida State Information Packet is to ensure that the state has accurate and up-to-date information about businesses operating within its borders.
What information must be reported on florida state information packet?
The Florida State Information Packet typically includes information such as the business's name, address, owner information, and financial data.
Fill out your florida state information packet online with pdfFiller!
pdfFiller is an end-to-end solution for managing, creating, and editing documents and forms in the cloud. Save time and hassle by preparing your tax forms online.
Florida State Information Packet is not the form you're looking for?Search for another form here.
Relevant keywords
Related Forms
If you believe that this page should be taken down, please follow our DMCA take down process
here
.
This form may include fields for payment information. Data entered in these fields is not covered by PCI DSS compliance.