Get the free P.E.O. Media Fact Sheet
Show details
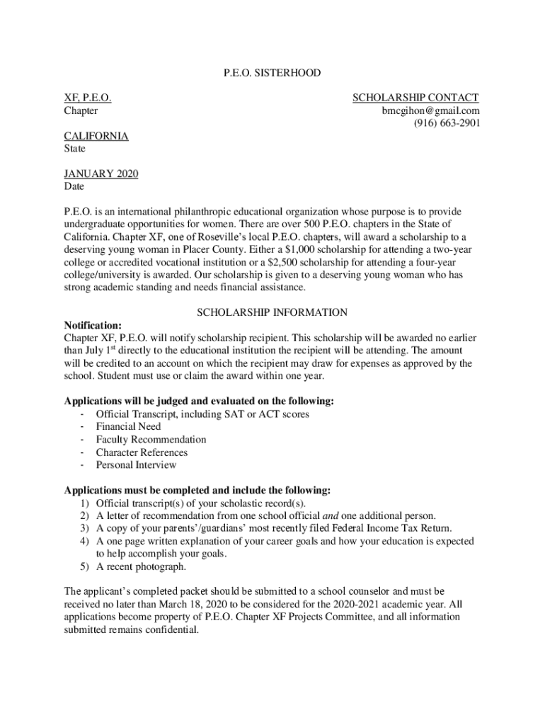
P.E.O. SISTERHOOD OF, P.E.O. ChapterSCHOLARSHIP CONTACT bmcgihon@gmail.com (916) 6632901CALIFORNIA State JANUARY 2020 Date P.E.O. is an international philanthropic educational organization whose purpose
We are not affiliated with any brand or entity on this form
Get, Create, Make and Sign peo media fact sheet
Edit your peo media fact sheet form online
Type text, complete fillable fields, insert images, highlight or blackout data for discretion, add comments, and more.
Add your legally-binding signature
Draw or type your signature, upload a signature image, or capture it with your digital camera.
Share your form instantly
Email, fax, or share your peo media fact sheet form via URL. You can also download, print, or export forms to your preferred cloud storage service.
How to edit peo media fact sheet online
To use our professional PDF editor, follow these steps:
1
Register the account. Begin by clicking Start Free Trial and create a profile if you are a new user.
2
Simply add a document. Select Add New from your Dashboard and import a file into the system by uploading it from your device or importing it via the cloud, online, or internal mail. Then click Begin editing.
3
Edit peo media fact sheet. Rearrange and rotate pages, add and edit text, and use additional tools. To save changes and return to your Dashboard, click Done. The Documents tab allows you to merge, divide, lock, or unlock files.
4
Get your file. Select your file from the documents list and pick your export method. You may save it as a PDF, email it, or upload it to the cloud.
It's easier to work with documents with pdfFiller than you could have believed. You can sign up for an account to see for yourself.
Uncompromising security for your PDF editing and eSignature needs
Your private information is safe with pdfFiller. We employ end-to-end encryption, secure cloud storage, and advanced access control to protect your documents and maintain regulatory compliance.
How to fill out peo media fact sheet
How to fill out peo media fact sheet
01
Start by gathering all the necessary information such as company name, contact details, website, social media accounts, and a brief description of the company.
02
Fill in the required fields accurately and ensure that all information provided is up to date.
03
Provide any additional information or updates that may be relevant to the media fact sheet.
04
Proofread the completed fact sheet to check for any errors or omissions before submitting it.
Who needs peo media fact sheet?
01
Businesses and organizations looking to share key information with the media
02
Companies seeking to provide media outlets with accurate and relevant information about their products or services
03
Public relations professionals working on behalf of a client to distribute information to the media
Fill
form
: Try Risk Free
For pdfFiller’s FAQs
Below is a list of the most common customer questions. If you can’t find an answer to your question, please don’t hesitate to reach out to us.
How do I complete peo media fact sheet online?
With pdfFiller, you may easily complete and sign peo media fact sheet online. It lets you modify original PDF material, highlight, blackout, erase, and write text anywhere on a page, legally eSign your document, and do a lot more. Create a free account to handle professional papers online.
Can I sign the peo media fact sheet electronically in Chrome?
Yes. You can use pdfFiller to sign documents and use all of the features of the PDF editor in one place if you add this solution to Chrome. In order to use the extension, you can draw or write an electronic signature. You can also upload a picture of your handwritten signature. There is no need to worry about how long it takes to sign your peo media fact sheet.
How do I fill out the peo media fact sheet form on my smartphone?
Use the pdfFiller mobile app to complete and sign peo media fact sheet on your mobile device. Visit our web page (https://edit-pdf-ios-android.pdffiller.com/) to learn more about our mobile applications, the capabilities you’ll have access to, and the steps to take to get up and running.
What is peo media fact sheet?
The PEO Media Fact Sheet is a document that provides essential information about a particular media outlet such as its ownership, circulation numbers, target audience, etc.
Who is required to file peo media fact sheet?
All media outlets are required to file the PEO Media Fact Sheet.
How to fill out peo media fact sheet?
The PEO Media Fact Sheet can be filled out electronically or by submitting a physical copy with the required information.
What is the purpose of peo media fact sheet?
The purpose of the PEO Media Fact Sheet is to provide transparency and information about media outlets to the public.
What information must be reported on peo media fact sheet?
Information such as ownership details, circulation numbers, target audience demographics, editorial policies, etc., must be reported on the PEO Media Fact Sheet.
Fill out your peo media fact sheet online with pdfFiller!
pdfFiller is an end-to-end solution for managing, creating, and editing documents and forms in the cloud. Save time and hassle by preparing your tax forms online.
Peo Media Fact Sheet is not the form you're looking for?Search for another form here.
Relevant keywords
Related Forms
If you believe that this page should be taken down, please follow our DMCA take down process
here
.
This form may include fields for payment information. Data entered in these fields is not covered by PCI DSS compliance.