
Get the free Higher Education Emergency Grants Frequently Asked ... - IRS
Show details
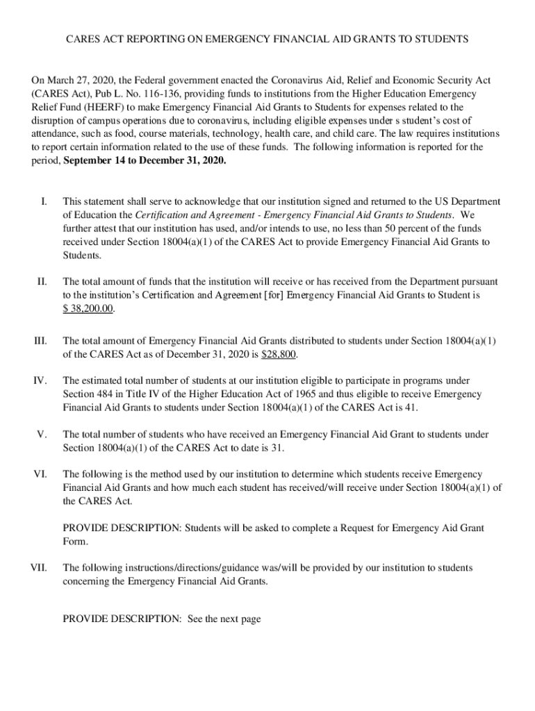
CARES ACT REPORTING ON EMERGENCY FINANCIAL AID GRANTS TO Students March 27, 2020, the Federal government enacted the Coronavirus Aid, Relief and Economic Security Act (CARES Act), Pub L. No. 116136,
We are not affiliated with any brand or entity on this form
Get, Create, Make and Sign higher education emergency grants

Edit your higher education emergency grants form online
Type text, complete fillable fields, insert images, highlight or blackout data for discretion, add comments, and more.

Add your legally-binding signature
Draw or type your signature, upload a signature image, or capture it with your digital camera.

Share your form instantly
Email, fax, or share your higher education emergency grants form via URL. You can also download, print, or export forms to your preferred cloud storage service.
Editing higher education emergency grants online
To use our professional PDF editor, follow these steps:
1
Log in. Click Start Free Trial and create a profile if necessary.
2
Prepare a file. Use the Add New button to start a new project. Then, using your device, upload your file to the system by importing it from internal mail, the cloud, or adding its URL.
3
Edit higher education emergency grants. Replace text, adding objects, rearranging pages, and more. Then select the Documents tab to combine, divide, lock or unlock the file.
4
Get your file. When you find your file in the docs list, click on its name and choose how you want to save it. To get the PDF, you can save it, send an email with it, or move it to the cloud.
pdfFiller makes working with documents easier than you could ever imagine. Register for an account and see for yourself!
Uncompromising security for your PDF editing and eSignature needs
Your private information is safe with pdfFiller. We employ end-to-end encryption, secure cloud storage, and advanced access control to protect your documents and maintain regulatory compliance.
How to fill out higher education emergency grants

How to fill out higher education emergency grants
01
Determine if you meet the eligibility criteria for the higher education emergency grants.
02
Obtain the necessary application form from your educational institution or the relevant government department.
03
Fill out the application form completely and accurately, providing all required information and supporting documents.
04
Submit the completed application form before the deadline specified by the grant provider.
05
Wait for the review process to be completed and keep track of any updates or requests for additional information.
Who needs higher education emergency grants?
01
Students who are facing financial hardships and require immediate assistance to continue their education.
02
Individuals who have experienced unexpected circumstances such as medical emergencies or natural disasters that have affected their ability to pay for higher education expenses.
Fill
form
: Try Risk Free
For pdfFiller’s FAQs
Below is a list of the most common customer questions. If you can’t find an answer to your question, please don’t hesitate to reach out to us.
How do I edit higher education emergency grants online?
With pdfFiller, the editing process is straightforward. Open your higher education emergency grants in the editor, which is highly intuitive and easy to use. There, you’ll be able to blackout, redact, type, and erase text, add images, draw arrows and lines, place sticky notes and text boxes, and much more.
How do I fill out the higher education emergency grants form on my smartphone?
On your mobile device, use the pdfFiller mobile app to complete and sign higher education emergency grants. Visit our website (https://edit-pdf-ios-android.pdffiller.com/) to discover more about our mobile applications, the features you'll have access to, and how to get started.
How do I complete higher education emergency grants on an iOS device?
In order to fill out documents on your iOS device, install the pdfFiller app. Create an account or log in to an existing one if you have a subscription to the service. Once the registration process is complete, upload your higher education emergency grants. You now can take advantage of pdfFiller's advanced functionalities: adding fillable fields and eSigning documents, and accessing them from any device, wherever you are.
What is higher education emergency grants?
Higher education emergency grants are funds designated to assist students facing financial hardship due to unexpected emergency situations.
Who is required to file higher education emergency grants?
Students who are experiencing financial hardship due to unexpected emergency situations are required to file for higher education emergency grants.
How to fill out higher education emergency grants?
To fill out higher education emergency grants, students must provide detailed information about their financial situation and the emergency circumstances they are facing.
What is the purpose of higher education emergency grants?
The purpose of higher education emergency grants is to provide financial assistance to students in need who are facing unexpected emergency situations.
What information must be reported on higher education emergency grants?
Students must report detailed information about their financial situation, the emergency circumstances they are facing, and any other relevant details.
Fill out your higher education emergency grants online with pdfFiller!
pdfFiller is an end-to-end solution for managing, creating, and editing documents and forms in the cloud. Save time and hassle by preparing your tax forms online.

Higher Education Emergency Grants is not the form you're looking for?Search for another form here.
Relevant keywords
Related Forms
If you believe that this page should be taken down, please follow our DMCA take down process
here
.
This form may include fields for payment information. Data entered in these fields is not covered by PCI DSS compliance.