
Get the free Early Head Start Family Advocate jobs in Florida - Indeed
Show details
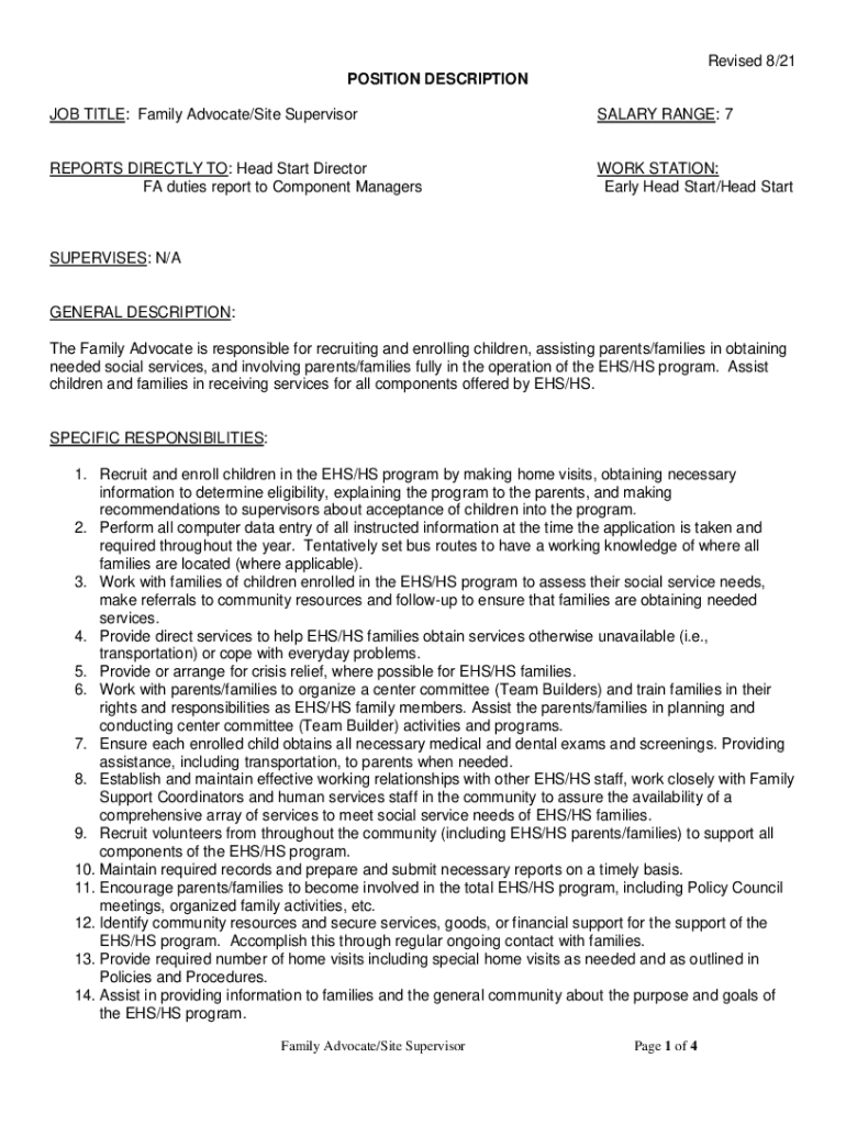
Revised 8/21
POSITION DESCRIPTION
JOB TITLE: Family Advocate/Site SupervisorSALARY RANGE: 7REPORTS DIRECTLY TO: Head Start Director
FA duties report to Component ManagersWORK STATION:
Early Head Start/Head
We are not affiliated with any brand or entity on this form
Get, Create, Make and Sign early head start family

Edit your early head start family form online
Type text, complete fillable fields, insert images, highlight or blackout data for discretion, add comments, and more.

Add your legally-binding signature
Draw or type your signature, upload a signature image, or capture it with your digital camera.

Share your form instantly
Email, fax, or share your early head start family form via URL. You can also download, print, or export forms to your preferred cloud storage service.
How to edit early head start family online
Use the instructions below to start using our professional PDF editor:
1
Log in. Click Start Free Trial and create a profile if necessary.
2
Upload a document. Select Add New on your Dashboard and transfer a file into the system in one of the following ways: by uploading it from your device or importing from the cloud, web, or internal mail. Then, click Start editing.
3
Edit early head start family. Add and change text, add new objects, move pages, add watermarks and page numbers, and more. Then click Done when you're done editing and go to the Documents tab to merge or split the file. If you want to lock or unlock the file, click the lock or unlock button.
4
Get your file. Select the name of your file in the docs list and choose your preferred exporting method. You can download it as a PDF, save it in another format, send it by email, or transfer it to the cloud.
With pdfFiller, dealing with documents is always straightforward. Try it right now!
Uncompromising security for your PDF editing and eSignature needs
Your private information is safe with pdfFiller. We employ end-to-end encryption, secure cloud storage, and advanced access control to protect your documents and maintain regulatory compliance.
How to fill out early head start family

How to fill out early head start family
01
Contact the local early head start program or visit their website to obtain the necessary forms and information.
02
Fill out the application form with accurate and up-to-date information about your family, including income, household size, and any special circumstances.
03
Provide any required documentation, such as proof of income, birth certificates, and immunization records.
04
Submit the completed application either in person or online, following the instructions provided by the program.
05
Await communication from the program regarding your eligibility and next steps in the enrollment process.
Who needs early head start family?
01
Families with children under the age of 3 who are living at or below the federal poverty level
02
Families experiencing homelessness
03
Families receiving public assistance
Fill
form
: Try Risk Free
For pdfFiller’s FAQs
Below is a list of the most common customer questions. If you can’t find an answer to your question, please don’t hesitate to reach out to us.
How can I edit early head start family from Google Drive?
Using pdfFiller with Google Docs allows you to create, amend, and sign documents straight from your Google Drive. The add-on turns your early head start family into a dynamic fillable form that you can manage and eSign from anywhere.
How can I send early head start family to be eSigned by others?
When you're ready to share your early head start family, you can swiftly email it to others and receive the eSigned document back. You may send your PDF through email, fax, text message, or USPS mail, or you can notarize it online. All of this may be done without ever leaving your account.
How do I edit early head start family straight from my smartphone?
The best way to make changes to documents on a mobile device is to use pdfFiller's apps for iOS and Android. You may get them from the Apple Store and Google Play. Learn more about the apps here. To start editing early head start family, you need to install and log in to the app.
What is early head start family?
Early Head Start family refers to a program that supports the well-being of young children and their families by providing early childhood education, health, nutrition, and parent involvement services.
Who is required to file early head start family?
Families with young children who meet the income eligibility requirements are required to file for Early Head Start family.
How to fill out early head start family?
To fill out Early Head Start family, families can contact their local Early Head Start program or visit the official website for more information on the application process.
What is the purpose of early head start family?
The purpose of Early Head Start family is to promote school readiness and support the healthy development of young children by providing comprehensive services to families.
What information must be reported on early head start family?
Information such as income, family size, housing situation, and child's age and health status must be reported on Early Head Start family applications.
Fill out your early head start family online with pdfFiller!
pdfFiller is an end-to-end solution for managing, creating, and editing documents and forms in the cloud. Save time and hassle by preparing your tax forms online.

Early Head Start Family is not the form you're looking for?Search for another form here.
Relevant keywords
Related Forms
If you believe that this page should be taken down, please follow our DMCA take down process
here
.
This form may include fields for payment information. Data entered in these fields is not covered by PCI DSS compliance.