Get the free DARE Staff, Students, Volunteers, and Other Contributors
Show details
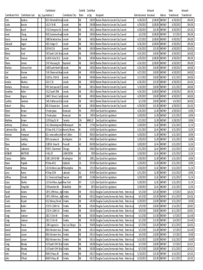
Contributor First
Tom
Justin
Sharon
Janet
Carrie
Deborah
Jana
Maria
Tom
Shane
Marilyn
Earl
Deb
Amelia
Barbara
Jonathan
Steven
Cynthia
Robert
Eileen
Mathew
Anthony
Catherine Elise
Andrew
Chris
Steve
Troy
ROBERT
Carissa
Dawn
Vladimir
Larry
Jeffrey
Zosma
Joseph
Sarah
Curtis
Jennie
Craig
David
Daniel
Daniel
Daniel
Craig
John
Noncontributory
We are not affiliated with any brand or entity on this form
Get, Create, Make and Sign dare staff students volunteers
Edit your dare staff students volunteers form online
Type text, complete fillable fields, insert images, highlight or blackout data for discretion, add comments, and more.
Add your legally-binding signature
Draw or type your signature, upload a signature image, or capture it with your digital camera.
Share your form instantly
Email, fax, or share your dare staff students volunteers form via URL. You can also download, print, or export forms to your preferred cloud storage service.
Editing dare staff students volunteers online
To use the services of a skilled PDF editor, follow these steps below:
1
Create an account. Begin by choosing Start Free Trial and, if you are a new user, establish a profile.
2
Prepare a file. Use the Add New button. Then upload your file to the system from your device, importing it from internal mail, the cloud, or by adding its URL.
3
Edit dare staff students volunteers. Add and change text, add new objects, move pages, add watermarks and page numbers, and more. Then click Done when you're done editing and go to the Documents tab to merge or split the file. If you want to lock or unlock the file, click the lock or unlock button.
4
Save your file. Select it in the list of your records. Then, move the cursor to the right toolbar and choose one of the available exporting methods: save it in multiple formats, download it as a PDF, send it by email, or store it in the cloud.
pdfFiller makes dealing with documents a breeze. Create an account to find out!
Uncompromising security for your PDF editing and eSignature needs
Your private information is safe with pdfFiller. We employ end-to-end encryption, secure cloud storage, and advanced access control to protect your documents and maintain regulatory compliance.
How to fill out dare staff students volunteers
How to fill out dare staff students volunteers
01
Determine the specific roles and responsibilities needed for DARE staff, students, and volunteers.
02
Create a registration form or application for interested individuals to fill out.
03
Review applications and select candidates based on their qualifications and availability.
04
Provide training or orientation for selected DARE staff, students, and volunteers on their roles and expectations.
05
Assign tasks and responsibilities to each individual based on their strengths and interests.
06
Monitor and evaluate the performance of DARE staff, students, and volunteers regularly to ensure they are meeting expectations.
Who needs dare staff students volunteers?
01
Organizations or programs that focus on drug abuse resistance education (DARE) may need DARE staff, students, and volunteers.
02
Schools or community centers that offer DARE programs may also require the help of staff, students, and volunteers to support the program.
Fill
form
: Try Risk Free
For pdfFiller’s FAQs
Below is a list of the most common customer questions. If you can’t find an answer to your question, please don’t hesitate to reach out to us.
How do I make edits in dare staff students volunteers without leaving Chrome?
Install the pdfFiller Google Chrome Extension to edit dare staff students volunteers and other documents straight from Google search results. When reading documents in Chrome, you may edit them. Create fillable PDFs and update existing PDFs using pdfFiller.
Can I create an electronic signature for signing my dare staff students volunteers in Gmail?
You may quickly make your eSignature using pdfFiller and then eSign your dare staff students volunteers right from your mailbox using pdfFiller's Gmail add-on. Please keep in mind that in order to preserve your signatures and signed papers, you must first create an account.
How do I edit dare staff students volunteers straight from my smartphone?
You can easily do so with pdfFiller's apps for iOS and Android devices, which can be found at the Apple Store and the Google Play Store, respectively. You can use them to fill out PDFs. We have a website where you can get the app, but you can also get it there. When you install the app, log in, and start editing dare staff students volunteers, you can start right away.
What is dare staff students volunteers?
Dare staff students volunteers are individuals who are involved in the DARE program either as staff, students or volunteers.
Who is required to file dare staff students volunteers?
The individuals in charge of the DARE program are required to file information about the staff, students, and volunteers involved.
How to fill out dare staff students volunteers?
The information about dare staff students volunteers can be filled out on a designated form provided by the DARE program.
What is the purpose of dare staff students volunteers?
The purpose of reporting dare staff students volunteers is to keep track of who is involved in the DARE program and to ensure the safety of all participants.
What information must be reported on dare staff students volunteers?
Information such as name, contact information, role in the program, and background check results must be reported for each staff, student, and volunteer.
Fill out your dare staff students volunteers online with pdfFiller!
pdfFiller is an end-to-end solution for managing, creating, and editing documents and forms in the cloud. Save time and hassle by preparing your tax forms online.
Dare Staff Students Volunteers is not the form you're looking for?Search for another form here.
Relevant keywords
Related Forms
If you believe that this page should be taken down, please follow our DMCA take down process
here
.
This form may include fields for payment information. Data entered in these fields is not covered by PCI DSS compliance.