
Get the free Step Up For Students: Scholarships In Florida
Show details
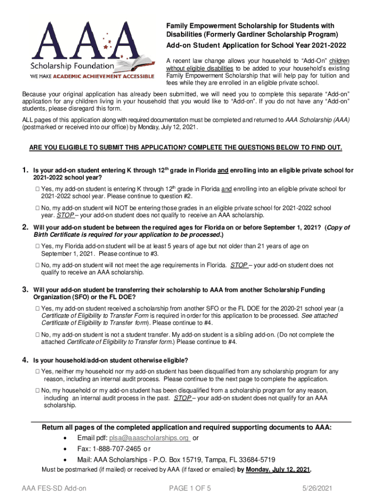
Family Empowerment Scholarship for Students with Disabilities (Formerly Gardiner Scholarship Program) Add-on Student Application for School Year 20212022 A recent law change allows your household
We are not affiliated with any brand or entity on this form
Get, Create, Make and Sign step up for students

Edit your step up for students form online
Type text, complete fillable fields, insert images, highlight or blackout data for discretion, add comments, and more.

Add your legally-binding signature
Draw or type your signature, upload a signature image, or capture it with your digital camera.

Share your form instantly
Email, fax, or share your step up for students form via URL. You can also download, print, or export forms to your preferred cloud storage service.
How to edit step up for students online
Use the instructions below to start using our professional PDF editor:
1
Create an account. Begin by choosing Start Free Trial and, if you are a new user, establish a profile.
2
Prepare a file. Use the Add New button to start a new project. Then, using your device, upload your file to the system by importing it from internal mail, the cloud, or adding its URL.
3
Edit step up for students. Add and replace text, insert new objects, rearrange pages, add watermarks and page numbers, and more. Click Done when you are finished editing and go to the Documents tab to merge, split, lock or unlock the file.
4
Get your file. Select your file from the documents list and pick your export method. You may save it as a PDF, email it, or upload it to the cloud.
With pdfFiller, it's always easy to deal with documents.
Uncompromising security for your PDF editing and eSignature needs
Your private information is safe with pdfFiller. We employ end-to-end encryption, secure cloud storage, and advanced access control to protect your documents and maintain regulatory compliance.
How to fill out step up for students

How to fill out step up for students
01
Determine the eligibility criteria for the Step Up for Students program.
02
Gather all necessary documents such as income proof, student's ID, and school enrollment information.
03
Visit the Step Up for Students website and create an account.
04
Fill out the online application form with accurate and complete information.
05
Submit the application along with supporting documents for review.
06
Wait for the approval notification and follow any additional instructions provided.
Who needs step up for students?
01
Students from low-income families who are looking for financial assistance to attend a private school or receive educational services.
Fill
form
: Try Risk Free
For pdfFiller’s FAQs
Below is a list of the most common customer questions. If you can’t find an answer to your question, please don’t hesitate to reach out to us.
How do I edit step up for students online?
With pdfFiller, you may not only alter the content but also rearrange the pages. Upload your step up for students and modify it with a few clicks. The editor lets you add photos, sticky notes, text boxes, and more to PDFs.
How do I complete step up for students on an iOS device?
Install the pdfFiller app on your iOS device to fill out papers. Create an account or log in if you already have one. After registering, upload your step up for students. You may now use pdfFiller's advanced features like adding fillable fields and eSigning documents from any device, anywhere.
Can I edit step up for students on an Android device?
You can edit, sign, and distribute step up for students on your mobile device from anywhere using the pdfFiller mobile app for Android; all you need is an internet connection. Download the app and begin streamlining your document workflow from anywhere.
What is step up for students?
Step Up For Students is a scholarship program in Florida that provides financial assistance to low-income families in order to help children attend private schools.
Who is required to file step up for students?
Parents or guardians of eligible students are required to file for Step Up For Students scholarships.
How to fill out step up for students?
To fill out Step Up For Students, parents or guardians can visit the official website and follow the instructions provided for the application process.
What is the purpose of step up for students?
The purpose of Step Up For Students is to provide financial assistance to low-income families so that their children can attend private schools and receive a quality education.
What information must be reported on step up for students?
The information reported on Step Up For Students typically includes household income, student enrollment status, and school preference.
Fill out your step up for students online with pdfFiller!
pdfFiller is an end-to-end solution for managing, creating, and editing documents and forms in the cloud. Save time and hassle by preparing your tax forms online.

Step Up For Students is not the form you're looking for?Search for another form here.
Relevant keywords
Related Forms
If you believe that this page should be taken down, please follow our DMCA take down process
here
.
This form may include fields for payment information. Data entered in these fields is not covered by PCI DSS compliance.