Get the free 21-22-identity-statement-educational-purpose-form. ...
Show details
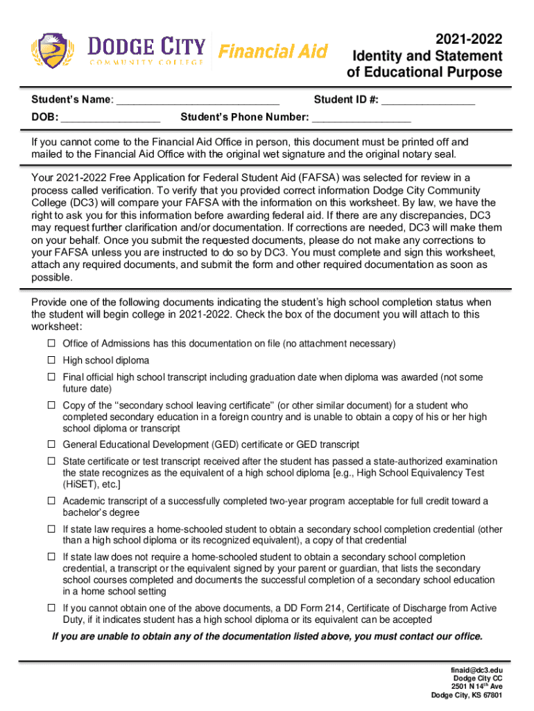
20212022 Identity and Statement of Educational Purpose Students Name: ___ DOB: ___Student ID #: ___Students Phone Number: ___If you cannot come to the Financial Aid Office in person, this document
We are not affiliated with any brand or entity on this form
Get, Create, Make and Sign 21-22-identity-statement-educational-purpose-form
Edit your 21-22-identity-statement-educational-purpose-form form online
Type text, complete fillable fields, insert images, highlight or blackout data for discretion, add comments, and more.
Add your legally-binding signature
Draw or type your signature, upload a signature image, or capture it with your digital camera.
Share your form instantly
Email, fax, or share your 21-22-identity-statement-educational-purpose-form form via URL. You can also download, print, or export forms to your preferred cloud storage service.
Editing 21-22-identity-statement-educational-purpose-form online
Here are the steps you need to follow to get started with our professional PDF editor:
1
Set up an account. If you are a new user, click Start Free Trial and establish a profile.
2
Prepare a file. Use the Add New button to start a new project. Then, using your device, upload your file to the system by importing it from internal mail, the cloud, or adding its URL.
3
Edit 21-22-identity-statement-educational-purpose-form. Rearrange and rotate pages, insert new and alter existing texts, add new objects, and take advantage of other helpful tools. Click Done to apply changes and return to your Dashboard. Go to the Documents tab to access merging, splitting, locking, or unlocking functions.
4
Save your file. Select it from your list of records. Then, move your cursor to the right toolbar and choose one of the exporting options. You can save it in multiple formats, download it as a PDF, send it by email, or store it in the cloud, among other things.
pdfFiller makes working with documents easier than you could ever imagine. Register for an account and see for yourself!
Uncompromising security for your PDF editing and eSignature needs
Your private information is safe with pdfFiller. We employ end-to-end encryption, secure cloud storage, and advanced access control to protect your documents and maintain regulatory compliance.
How to fill out 21-22-identity-statement-educational-purpose-form
How to fill out 21-22-identity-statement-educational-purpose-form
01
Download the 21-22-identity-statement-educational-purpose-form from the official website of the educational institution.
02
Fill out your personal information such as name, address, contact information, and student ID number.
03
Provide details about the educational purpose for which you are submitting the form.
04
Sign and date the form before submitting it to the appropriate department or person.
Who needs 21-22-identity-statement-educational-purpose-form?
01
Students who need to confirm their identity and educational purpose for official purposes.
Fill
form
: Try Risk Free
For pdfFiller’s FAQs
Below is a list of the most common customer questions. If you can’t find an answer to your question, please don’t hesitate to reach out to us.
How can I modify 21-22-identity-statement-educational-purpose-form without leaving Google Drive?
It is possible to significantly enhance your document management and form preparation by combining pdfFiller with Google Docs. This will allow you to generate papers, amend them, and sign them straight from your Google Drive. Use the add-on to convert your 21-22-identity-statement-educational-purpose-form into a dynamic fillable form that can be managed and signed using any internet-connected device.
How can I send 21-22-identity-statement-educational-purpose-form for eSignature?
Once your 21-22-identity-statement-educational-purpose-form is ready, you can securely share it with recipients and collect eSignatures in a few clicks with pdfFiller. You can send a PDF by email, text message, fax, USPS mail, or notarize it online - right from your account. Create an account now and try it yourself.
How can I edit 21-22-identity-statement-educational-purpose-form on a smartphone?
Using pdfFiller's mobile-native applications for iOS and Android is the simplest method to edit documents on a mobile device. You may get them from the Apple App Store and Google Play, respectively. More information on the apps may be found here. Install the program and log in to begin editing 21-22-identity-statement-educational-purpose-form.
What is 21-22-identity-statement-educational-purpose-form?
21-22-identity-statement-educational-purpose-form is a form used to confirm a student's identity and educational purpose for financial aid purposes.
Who is required to file 21-22-identity-statement-educational-purpose-form?
Students applying for financial aid are required to file the 21-22-identity-statement-educational-purpose-form.
How to fill out 21-22-identity-statement-educational-purpose-form?
To fill out the form, students need to provide their personal information, educational institution details, and sign to confirm the accuracy of the information provided.
What is the purpose of 21-22-identity-statement-educational-purpose-form?
The purpose of the form is to verify a student's identity and educational purpose, ensuring that they are eligible for financial aid.
What information must be reported on 21-22-identity-statement-educational-purpose-form?
Students must report their name, date of birth, social security number, educational institution details, and provide a signature to confirm the accuracy of the information.
Fill out your 21-22-identity-statement-educational-purpose-form online with pdfFiller!
pdfFiller is an end-to-end solution for managing, creating, and editing documents and forms in the cloud. Save time and hassle by preparing your tax forms online.
21-22-Identity-Statement-Educational-Purpose-Form is not the form you're looking for?Search for another form here.
Relevant keywords
Related Forms
If you believe that this page should be taken down, please follow our DMCA take down process
here
.
This form may include fields for payment information. Data entered in these fields is not covered by PCI DSS compliance.