Get the free Medical Certificate Confirming a serious Episodic Disorder
Show details
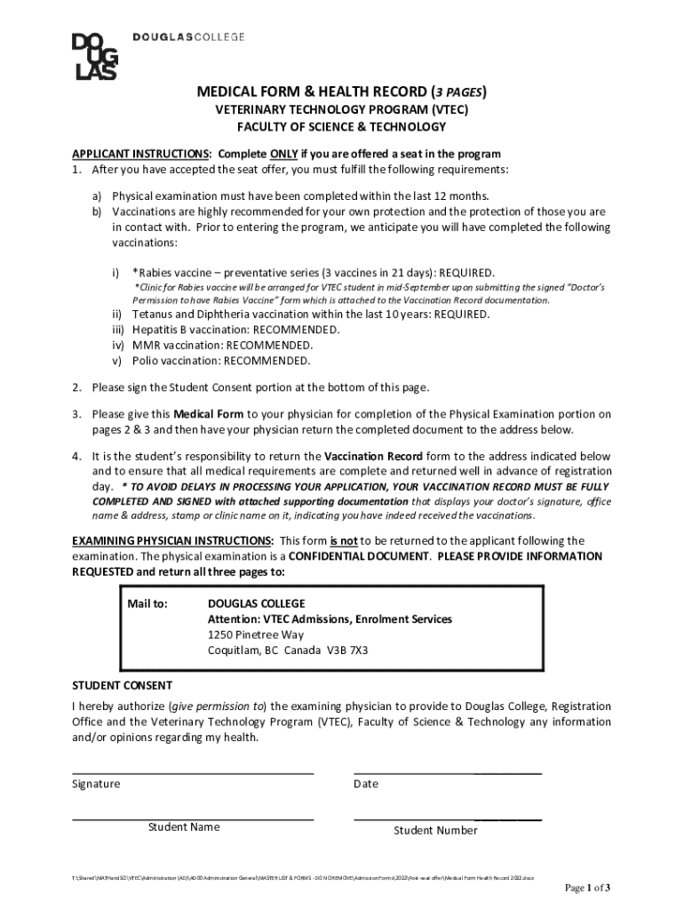
MEDICAL FORM & HEALTH RECORD (3 PAGES) VETERINARY TECHNOLOGY PROGRAM (TEC) FACULTY OF SCIENCE & TECHNOLOGYAPPLICANT INSTRUCTIONS: Complete ONLY if you are offered a seat in the program 1. After you
We are not affiliated with any brand or entity on this form
Get, Create, Make and Sign medical certificate confirming a
Edit your medical certificate confirming a form online
Type text, complete fillable fields, insert images, highlight or blackout data for discretion, add comments, and more.
Add your legally-binding signature
Draw or type your signature, upload a signature image, or capture it with your digital camera.
Share your form instantly
Email, fax, or share your medical certificate confirming a form via URL. You can also download, print, or export forms to your preferred cloud storage service.
Editing medical certificate confirming a online
Use the instructions below to start using our professional PDF editor:
1
Create an account. Begin by choosing Start Free Trial and, if you are a new user, establish a profile.
2
Upload a document. Select Add New on your Dashboard and transfer a file into the system in one of the following ways: by uploading it from your device or importing from the cloud, web, or internal mail. Then, click Start editing.
3
Edit medical certificate confirming a. Rearrange and rotate pages, add and edit text, and use additional tools. To save changes and return to your Dashboard, click Done. The Documents tab allows you to merge, divide, lock, or unlock files.
4
Save your file. Select it in the list of your records. Then, move the cursor to the right toolbar and choose one of the available exporting methods: save it in multiple formats, download it as a PDF, send it by email, or store it in the cloud.
The use of pdfFiller makes dealing with documents straightforward.
Uncompromising security for your PDF editing and eSignature needs
Your private information is safe with pdfFiller. We employ end-to-end encryption, secure cloud storage, and advanced access control to protect your documents and maintain regulatory compliance.
How to fill out medical certificate confirming a
How to fill out medical certificate confirming a
01
Get a medical certificate form from your doctor or healthcare provider.
02
Fill out your personal information such as full name, date of birth, and contact details.
03
Provide details of the medical condition or reason for needing the certificate.
04
Have your doctor or healthcare provider sign and stamp the certificate to confirm its validity.
Who needs medical certificate confirming a?
01
Individuals who are required to provide proof of their medical condition for work or school purposes.
02
People who need to submit medical documents for insurance claims or legal proceedings.
Fill
form
: Try Risk Free
For pdfFiller’s FAQs
Below is a list of the most common customer questions. If you can’t find an answer to your question, please don’t hesitate to reach out to us.
How can I send medical certificate confirming a to be eSigned by others?
medical certificate confirming a is ready when you're ready to send it out. With pdfFiller, you can send it out securely and get signatures in just a few clicks. PDFs can be sent to you by email, text message, fax, USPS mail, or notarized on your account. You can do this right from your account. Become a member right now and try it out for yourself!
Where do I find medical certificate confirming a?
It's simple with pdfFiller, a full online document management tool. Access our huge online form collection (over 25M fillable forms are accessible) and find the medical certificate confirming a in seconds. Open it immediately and begin modifying it with powerful editing options.
How do I complete medical certificate confirming a on an Android device?
On an Android device, use the pdfFiller mobile app to finish your medical certificate confirming a. The program allows you to execute all necessary document management operations, such as adding, editing, and removing text, signing, annotating, and more. You only need a smartphone and an internet connection.
What is medical certificate confirming a?
A medical certificate confirming a is a document issued by a medical professional stating the medical condition or fitness of an individual.
Who is required to file medical certificate confirming a?
Individuals who require medical clearance for certain activities or conditions may be required to file a medical certificate confirming a.
How to fill out medical certificate confirming a?
To fill out a medical certificate confirming a, the individual must visit a medical professional who will assess their medical condition and provide the necessary information.
What is the purpose of medical certificate confirming a?
The purpose of a medical certificate confirming a is to provide evidence of a person's medical condition or fitness for a specific purpose.
What information must be reported on medical certificate confirming a?
A medical certificate confirming a must include details about the individual's medical condition, the date of assessment, and the signature of the medical professional.
Fill out your medical certificate confirming a online with pdfFiller!
pdfFiller is an end-to-end solution for managing, creating, and editing documents and forms in the cloud. Save time and hassle by preparing your tax forms online.
Medical Certificate Confirming A is not the form you're looking for?Search for another form here.
Relevant keywords
Related Forms
If you believe that this page should be taken down, please follow our DMCA take down process
here
.
This form may include fields for payment information. Data entered in these fields is not covered by PCI DSS compliance.