Get the free YMCA Program Director - Spirit Lake, IA - Salary.com
Show details
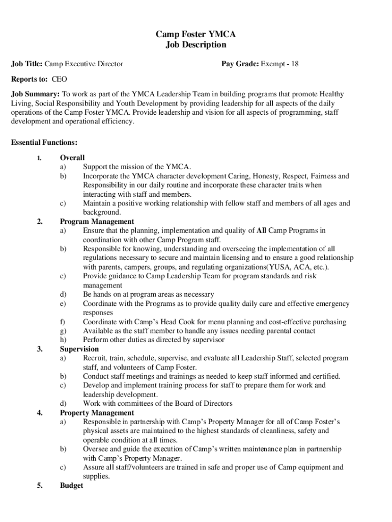
Camp Foster YMCA Job Description Job Title: Camp Executive Directory Grade: Exempt 18Reports to: CEO Job Summary: To work as part of the YMCA Leadership Team in building programs that promote Healthy
We are not affiliated with any brand or entity on this form
Get, Create, Make and Sign ymca program director
Edit your ymca program director form online
Type text, complete fillable fields, insert images, highlight or blackout data for discretion, add comments, and more.
Add your legally-binding signature
Draw or type your signature, upload a signature image, or capture it with your digital camera.
Share your form instantly
Email, fax, or share your ymca program director form via URL. You can also download, print, or export forms to your preferred cloud storage service.
Editing ymca program director online
Here are the steps you need to follow to get started with our professional PDF editor:
1
Log in. Click Start Free Trial and create a profile if necessary.
2
Prepare a file. Use the Add New button. Then upload your file to the system from your device, importing it from internal mail, the cloud, or by adding its URL.
3
Edit ymca program director. Add and change text, add new objects, move pages, add watermarks and page numbers, and more. Then click Done when you're done editing and go to the Documents tab to merge or split the file. If you want to lock or unlock the file, click the lock or unlock button.
4
Get your file. When you find your file in the docs list, click on its name and choose how you want to save it. To get the PDF, you can save it, send an email with it, or move it to the cloud.
pdfFiller makes dealing with documents a breeze. Create an account to find out!
Uncompromising security for your PDF editing and eSignature needs
Your private information is safe with pdfFiller. We employ end-to-end encryption, secure cloud storage, and advanced access control to protect your documents and maintain regulatory compliance.
How to fill out ymca program director
How to fill out ymca program director
01
Research the qualifications and requirements for a YMCA program director position.
02
Update your resume to highlight relevant experience in program development, management, and leadership.
03
Fill out the online application form on the YMCA website, providing accurate and detailed information about your education, work history, and skills.
04
Prepare for an interview by reviewing the YMCA's mission, values, and programs, and be ready to discuss how your experience aligns with their goals.
05
Follow up with the hiring manager after the interview to express your continued interest in the position.
Who needs ymca program director?
01
Non-profit organizations looking to develop and oversee various programs for members and the community.
02
Individuals with experience in program management, leadership, and community outreach.
Fill
form
: Try Risk Free
For pdfFiller’s FAQs
Below is a list of the most common customer questions. If you can’t find an answer to your question, please don’t hesitate to reach out to us.
How do I execute ymca program director online?
With pdfFiller, you may easily complete and sign ymca program director online. It lets you modify original PDF material, highlight, blackout, erase, and write text anywhere on a page, legally eSign your document, and do a lot more. Create a free account to handle professional papers online.
How do I fill out the ymca program director form on my smartphone?
On your mobile device, use the pdfFiller mobile app to complete and sign ymca program director. Visit our website (https://edit-pdf-ios-android.pdffiller.com/) to discover more about our mobile applications, the features you'll have access to, and how to get started.
How do I edit ymca program director on an iOS device?
Create, edit, and share ymca program director from your iOS smartphone with the pdfFiller mobile app. Installing it from the Apple Store takes only a few seconds. You may take advantage of a free trial and select a subscription that meets your needs.
What is ymca program director?
The YMCA program director oversees the planning and implementation of various programs offered by the organization.
Who is required to file ymca program director?
The YMCA program director is typically required to file reports and documentation related to their programs.
How to fill out ymca program director?
The YMCA program director must provide detailed information about the programs they oversee, including budgets, schedules, and participant demographics.
What is the purpose of ymca program director?
The purpose of the YMCA program director is to ensure that programs run smoothly, meet the needs of participants, and align with the organization's mission.
What information must be reported on ymca program director?
Information such as program goals, outcomes, participant numbers, and budget details must be reported on the YMCA program director.
Fill out your ymca program director online with pdfFiller!
pdfFiller is an end-to-end solution for managing, creating, and editing documents and forms in the cloud. Save time and hassle by preparing your tax forms online.
Ymca Program Director is not the form you're looking for?Search for another form here.
Relevant keywords
If you believe that this page should be taken down, please follow our DMCA take down process
here
.
This form may include fields for payment information. Data entered in these fields is not covered by PCI DSS compliance.