
Get the free 3170H12.07H SB 594 House Amendment NO ... - Missouri House - house mo
Show details
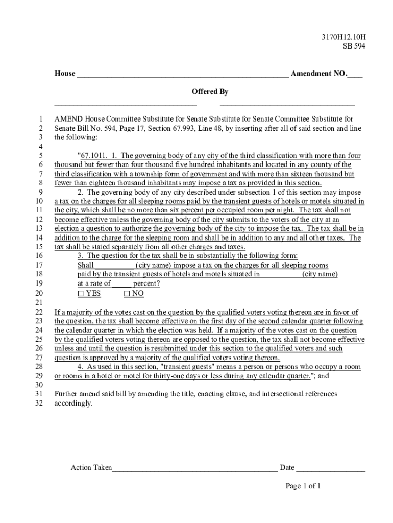
3170H12.10H SB 594 House ___ Amendment NO.___ Offered By ___ ___ 1 2 3 4 5 6 7 8 9 10 11 12 13 14 15 16 17 18 19 20 21 22 23 24 25 26 27 28 29 30 31 32AMEND House Committee Substitute for Senate Substitute
We are not affiliated with any brand or entity on this form
Get, Create, Make and Sign 3170h1207h sb 594 house

Edit your 3170h1207h sb 594 house form online
Type text, complete fillable fields, insert images, highlight or blackout data for discretion, add comments, and more.

Add your legally-binding signature
Draw or type your signature, upload a signature image, or capture it with your digital camera.

Share your form instantly
Email, fax, or share your 3170h1207h sb 594 house form via URL. You can also download, print, or export forms to your preferred cloud storage service.
Editing 3170h1207h sb 594 house online
In order to make advantage of the professional PDF editor, follow these steps below:
1
Set up an account. If you are a new user, click Start Free Trial and establish a profile.
2
Simply add a document. Select Add New from your Dashboard and import a file into the system by uploading it from your device or importing it via the cloud, online, or internal mail. Then click Begin editing.
3
Edit 3170h1207h sb 594 house. Rearrange and rotate pages, insert new and alter existing texts, add new objects, and take advantage of other helpful tools. Click Done to apply changes and return to your Dashboard. Go to the Documents tab to access merging, splitting, locking, or unlocking functions.
4
Get your file. When you find your file in the docs list, click on its name and choose how you want to save it. To get the PDF, you can save it, send an email with it, or move it to the cloud.
pdfFiller makes working with documents easier than you could ever imagine. Try it for yourself by creating an account!
Uncompromising security for your PDF editing and eSignature needs
Your private information is safe with pdfFiller. We employ end-to-end encryption, secure cloud storage, and advanced access control to protect your documents and maintain regulatory compliance.
How to fill out 3170h1207h sb 594 house

How to fill out 3170h1207h sb 594 house
01
Start by reading the instructions on the form 3170h1207h sb 594 house.
02
Gather all the necessary information such as personal details, property information, and any other relevant details.
03
Carefully fill out the form, ensuring all information is accurate and legible.
04
Double-check all the information provided to avoid any errors or mistakes.
05
Once the form is filled out completely, submit it according to the instructions provided.
Who needs 3170h1207h sb 594 house?
01
Individuals who are required to report information related to House Bill 594 may need to fill out form 3170h1207h sb 594 house.
02
This could include homeowners, property owners, or individuals involved in real estate transactions.
Fill
form
: Try Risk Free
For pdfFiller’s FAQs
Below is a list of the most common customer questions. If you can’t find an answer to your question, please don’t hesitate to reach out to us.
How do I make changes in 3170h1207h sb 594 house?
The editing procedure is simple with pdfFiller. Open your 3170h1207h sb 594 house in the editor. You may also add photos, draw arrows and lines, insert sticky notes and text boxes, and more.
How do I fill out 3170h1207h sb 594 house using my mobile device?
Use the pdfFiller mobile app to fill out and sign 3170h1207h sb 594 house on your phone or tablet. Visit our website to learn more about our mobile apps, how they work, and how to get started.
How can I fill out 3170h1207h sb 594 house on an iOS device?
Install the pdfFiller iOS app. Log in or create an account to access the solution's editing features. Open your 3170h1207h sb 594 house by uploading it from your device or online storage. After filling in all relevant fields and eSigning if required, you may save or distribute the document.
What is 3170h1207h sb 594 house?
3170h1207h sb 594 house is a bill related to housing and development.
Who is required to file 3170h1207h sb 594 house?
Property owners and developers are required to file 3170h1207h sb 594 house.
How to fill out 3170h1207h sb 594 house?
To fill out 3170h1207h sb 594 house, one needs to provide information about the property, development plans, and any relevant permits.
What is the purpose of 3170h1207h sb 594 house?
The purpose of 3170h1207h sb 594 house is to ensure compliance with housing and development regulations.
What information must be reported on 3170h1207h sb 594 house?
Information such as property details, development plans, permits, and compliance with regulations must be reported on 3170h1207h sb 594 house.
Fill out your 3170h1207h sb 594 house online with pdfFiller!
pdfFiller is an end-to-end solution for managing, creating, and editing documents and forms in the cloud. Save time and hassle by preparing your tax forms online.

3170H1207H Sb 594 House is not the form you're looking for?Search for another form here.
Relevant keywords
Related Forms
If you believe that this page should be taken down, please follow our DMCA take down process
here
.
This form may include fields for payment information. Data entered in these fields is not covered by PCI DSS compliance.