
Get the free ARKANSAS SCHOOL FOR THE BLIND AND ... - Amazon AWS
Show details
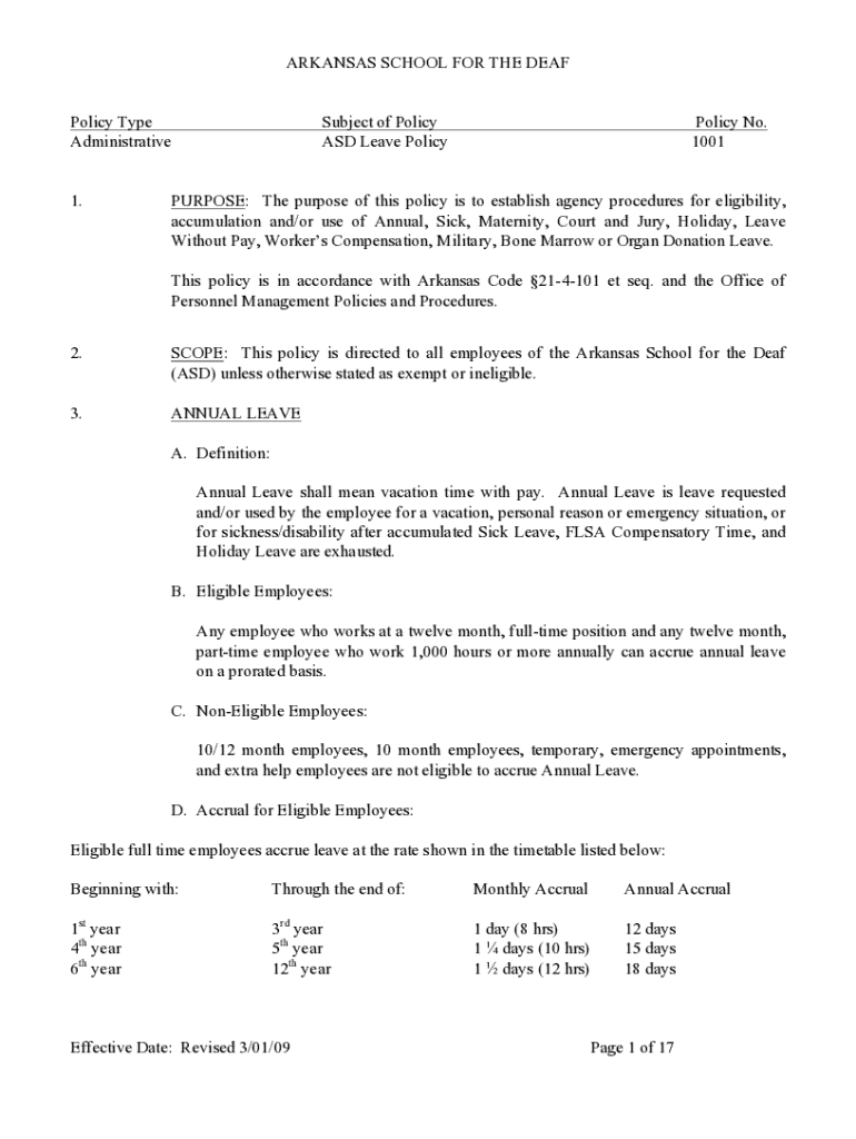
ARKANSAS SCHOOL FOR THE DEAF Policy Type Administrative 1. Subject of Policy ASD Leave PolicyPolicy No. 1001PURPOSE: The purpose of this policy is to establish agency procedures for eligibility, accumulation
We are not affiliated with any brand or entity on this form
Get, Create, Make and Sign arkansas school for form

Edit your arkansas school for form form online
Type text, complete fillable fields, insert images, highlight or blackout data for discretion, add comments, and more.

Add your legally-binding signature
Draw or type your signature, upload a signature image, or capture it with your digital camera.

Share your form instantly
Email, fax, or share your arkansas school for form form via URL. You can also download, print, or export forms to your preferred cloud storage service.
Editing arkansas school for form online
Here are the steps you need to follow to get started with our professional PDF editor:
1
Create an account. Begin by choosing Start Free Trial and, if you are a new user, establish a profile.
2
Upload a document. Select Add New on your Dashboard and transfer a file into the system in one of the following ways: by uploading it from your device or importing from the cloud, web, or internal mail. Then, click Start editing.
3
Edit arkansas school for form. Rearrange and rotate pages, add new and changed texts, add new objects, and use other useful tools. When you're done, click Done. You can use the Documents tab to merge, split, lock, or unlock your files.
4
Save your file. Choose it from the list of records. Then, shift the pointer to the right toolbar and select one of the several exporting methods: save it in multiple formats, download it as a PDF, email it, or save it to the cloud.
With pdfFiller, it's always easy to work with documents.
Uncompromising security for your PDF editing and eSignature needs
Your private information is safe with pdfFiller. We employ end-to-end encryption, secure cloud storage, and advanced access control to protect your documents and maintain regulatory compliance.
How to fill out arkansas school for form

How to fill out arkansas school for form
01
Obtain the Arkansas school form from the school's administrative office.
02
Fill in personal information such as name, address, and contact details.
03
Provide information on previous education history, including schools attended and qualifications obtained.
04
Answer any additional questions or sections on the form related to health, disciplinary history, or extracurricular interests.
05
Review the completed form for accuracy and completeness before submitting it back to the school.
Who needs arkansas school for form?
01
Students who are enrolling in an Arkansas school for the first time.
02
Students who are transferring to a new Arkansas school from another educational institution.
03
Parents or guardians who are providing information on behalf of a minor student enrolling in an Arkansas school.
Fill
form
: Try Risk Free
For pdfFiller’s FAQs
Below is a list of the most common customer questions. If you can’t find an answer to your question, please don’t hesitate to reach out to us.
How can I modify arkansas school for form without leaving Google Drive?
By integrating pdfFiller with Google Docs, you can streamline your document workflows and produce fillable forms that can be stored directly in Google Drive. Using the connection, you will be able to create, change, and eSign documents, including arkansas school for form, all without having to leave Google Drive. Add pdfFiller's features to Google Drive and you'll be able to handle your documents more effectively from any device with an internet connection.
How do I execute arkansas school for form online?
Easy online arkansas school for form completion using pdfFiller. Also, it allows you to legally eSign your form and change original PDF material. Create a free account and manage documents online.
How can I edit arkansas school for form on a smartphone?
You can easily do so with pdfFiller's apps for iOS and Android devices, which can be found at the Apple Store and the Google Play Store, respectively. You can use them to fill out PDFs. We have a website where you can get the app, but you can also get it there. When you install the app, log in, and start editing arkansas school for form, you can start right away.
What is arkansas school for form?
The Arkansas school for form is a document that must be completed and filed by certain individuals or organizations to report school-related information.
Who is required to file arkansas school for form?
Individuals or organizations that meet certain criteria set by the state of Arkansas are required to file the Arkansas school for form.
How to fill out arkansas school for form?
The Arkansas school for form can be filled out online or by mail. It requires the reporting of specific school-related information.
What is the purpose of arkansas school for form?
The purpose of the Arkansas school for form is to ensure that accurate information about schools is reported to the state of Arkansas.
What information must be reported on arkansas school for form?
Specific information about the school, such as enrollment numbers, attendance rates, and graduation rates, must be reported on the Arkansas school for form.
Fill out your arkansas school for form online with pdfFiller!
pdfFiller is an end-to-end solution for managing, creating, and editing documents and forms in the cloud. Save time and hassle by preparing your tax forms online.

Arkansas School For Form is not the form you're looking for?Search for another form here.
Relevant keywords
Related Forms
If you believe that this page should be taken down, please follow our DMCA take down process
here
.
This form may include fields for payment information. Data entered in these fields is not covered by PCI DSS compliance.