Get the free English language Entrance Test Sample 2017 Answer key is ...
Show details
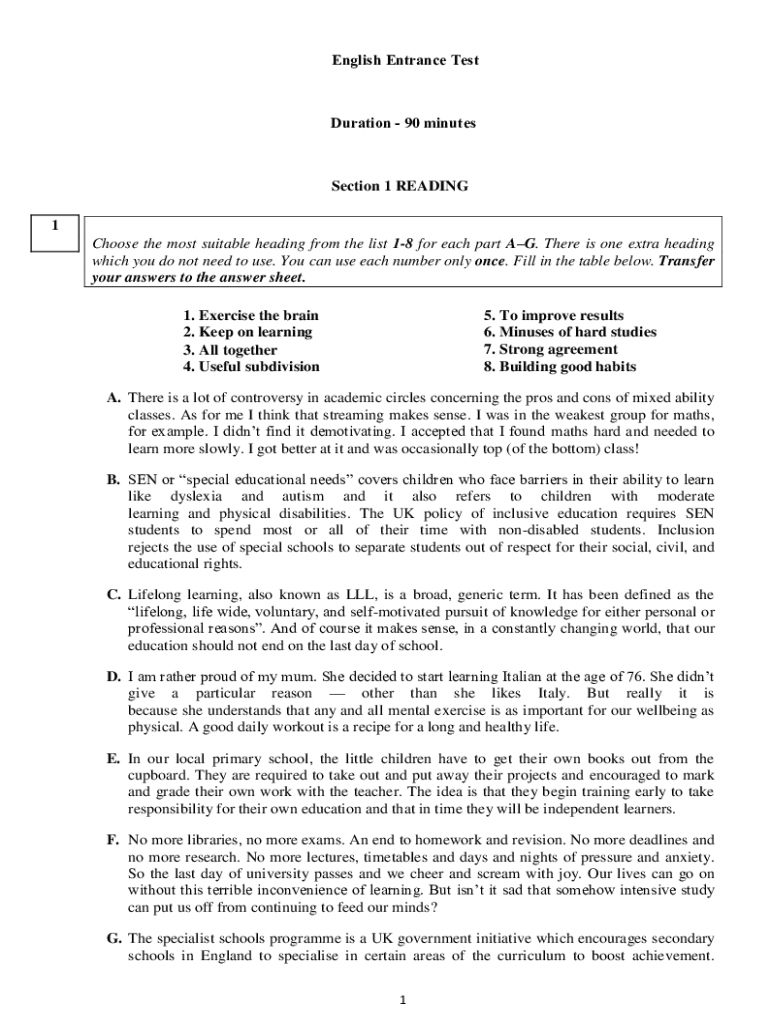
English Entrance Restoration 90 intersection 1 READING 1 Choose the most suitable heading from the list 18 for each part AG. There is one extra heading which you do not need to use. You can use each
We are not affiliated with any brand or entity on this form
Get, Create, Make and Sign english language entrance test
Edit your english language entrance test form online
Type text, complete fillable fields, insert images, highlight or blackout data for discretion, add comments, and more.
Add your legally-binding signature
Draw or type your signature, upload a signature image, or capture it with your digital camera.
Share your form instantly
Email, fax, or share your english language entrance test form via URL. You can also download, print, or export forms to your preferred cloud storage service.
How to edit english language entrance test online
Use the instructions below to start using our professional PDF editor:
1
Set up an account. If you are a new user, click Start Free Trial and establish a profile.
2
Upload a file. Select Add New on your Dashboard and upload a file from your device or import it from the cloud, online, or internal mail. Then click Edit.
3
Edit english language entrance test. Rearrange and rotate pages, add new and changed texts, add new objects, and use other useful tools. When you're done, click Done. You can use the Documents tab to merge, split, lock, or unlock your files.
4
Get your file. Select your file from the documents list and pick your export method. You may save it as a PDF, email it, or upload it to the cloud.
With pdfFiller, it's always easy to work with documents.
Uncompromising security for your PDF editing and eSignature needs
Your private information is safe with pdfFiller. We employ end-to-end encryption, secure cloud storage, and advanced access control to protect your documents and maintain regulatory compliance.
How to fill out english language entrance test
How to fill out english language entrance test
01
Read the instructions carefully before starting the test.
02
Begin by providing your personal information such as name, contact information, and any other required details.
03
Pay attention to the format of the test, whether it is multiple choice, short answer, or essay questions.
04
Answer each question to the best of your ability, taking your time to think and articulate your responses clearly.
05
Check your answers for any mistakes or missing information before submitting the test.
Who needs english language entrance test?
01
Students applying for English language programs at universities or language schools.
02
Professionals seeking certification or recognition of their English language proficiency.
03
Individuals applying for jobs that require a certain level of English language proficiency.
04
Immigrants or expats looking to demonstrate their English language skills for visa or residency purposes.
Fill
form
: Try Risk Free
For pdfFiller’s FAQs
Below is a list of the most common customer questions. If you can’t find an answer to your question, please don’t hesitate to reach out to us.
How can I manage my english language entrance test directly from Gmail?
pdfFiller’s add-on for Gmail enables you to create, edit, fill out and eSign your english language entrance test and any other documents you receive right in your inbox. Visit Google Workspace Marketplace and install pdfFiller for Gmail. Get rid of time-consuming steps and manage your documents and eSignatures effortlessly.
How can I send english language entrance test to be eSigned by others?
Once your english language entrance test is complete, you can securely share it with recipients and gather eSignatures with pdfFiller in just a few clicks. You may transmit a PDF by email, text message, fax, USPS mail, or online notarization directly from your account. Make an account right now and give it a go.
Can I sign the english language entrance test electronically in Chrome?
Yes. With pdfFiller for Chrome, you can eSign documents and utilize the PDF editor all in one spot. Create a legally enforceable eSignature by sketching, typing, or uploading a handwritten signature image. You may eSign your english language entrance test in seconds.
What is english language entrance test?
English language entrance test is an examination designed to assess a person's proficiency in the English language.
Who is required to file english language entrance test?
Individuals who are seeking admission to educational institutions or applying for job positions that require English language proficiency are required to take the English language entrance test.
How to fill out english language entrance test?
To fill out the English language entrance test, individuals need to answer questions related to reading, writing, listening, and speaking in English. The format and requirements may vary depending on the specific test.
What is the purpose of english language entrance test?
The purpose of the English language entrance test is to evaluate an individual's ability to understand and communicate in English, which is often necessary for academic or professional success.
What information must be reported on english language entrance test?
The information reported on the English language entrance test may include personal details, test scores, proficiency levels in reading, writing, listening, and speaking, and any additional requirements specified by the test administrator.
Fill out your english language entrance test online with pdfFiller!
pdfFiller is an end-to-end solution for managing, creating, and editing documents and forms in the cloud. Save time and hassle by preparing your tax forms online.
English Language Entrance Test is not the form you're looking for?Search for another form here.
Relevant keywords
Related Forms
If you believe that this page should be taken down, please follow our DMCA take down process
here
.
This form may include fields for payment information. Data entered in these fields is not covered by PCI DSS compliance.