Get the free Request for Proposal - Graphic Artist Services
Show details
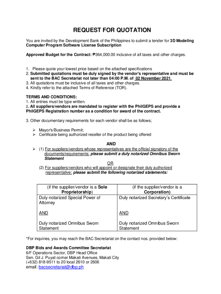
REQUEST FOR QUOTATION You are invited by the Development Bank of the Philippines to submit a tender for 3D Modeling Computer Program Software License Subscription Approved Budget for the Contract:
We are not affiliated with any brand or entity on this form
Get, Create, Make and Sign request for proposal
Edit your request for proposal form online
Type text, complete fillable fields, insert images, highlight or blackout data for discretion, add comments, and more.
Add your legally-binding signature
Draw or type your signature, upload a signature image, or capture it with your digital camera.
Share your form instantly
Email, fax, or share your request for proposal form via URL. You can also download, print, or export forms to your preferred cloud storage service.
Editing request for proposal online
Here are the steps you need to follow to get started with our professional PDF editor:
1
Create an account. Begin by choosing Start Free Trial and, if you are a new user, establish a profile.
2
Prepare a file. Use the Add New button. Then upload your file to the system from your device, importing it from internal mail, the cloud, or by adding its URL.
3
Edit request for proposal. Add and change text, add new objects, move pages, add watermarks and page numbers, and more. Then click Done when you're done editing and go to the Documents tab to merge or split the file. If you want to lock or unlock the file, click the lock or unlock button.
4
Save your file. Choose it from the list of records. Then, shift the pointer to the right toolbar and select one of the several exporting methods: save it in multiple formats, download it as a PDF, email it, or save it to the cloud.
pdfFiller makes dealing with documents a breeze. Create an account to find out!
Uncompromising security for your PDF editing and eSignature needs
Your private information is safe with pdfFiller. We employ end-to-end encryption, secure cloud storage, and advanced access control to protect your documents and maintain regulatory compliance.
How to fill out request for proposal
How to fill out request for proposal
01
Start by carefully reviewing the requirements outlined in the request for proposal (RFP) document.
02
Determine if your company can meet the necessary criteria and has the capability to fulfill the project requirements.
03
Identify any limitations or constraints that may impact your ability to successfully respond to the RFP.
04
Develop a detailed proposal that clearly addresses each section of the RFP, including timelines, budget, and deliverables.
05
Make sure to proofread and edit your proposal before submitting it to ensure it is professional and error-free.
06
Submit the completed proposal by the specified deadline and in the required format to the issuing organization.
Who needs request for proposal?
01
Companies looking to solicit proposals or bids for a project or service often use request for proposal (RFP) documents.
02
Government agencies, non-profit organizations, and businesses may require an RFP to ensure they receive competitive proposals from qualified vendors.
03
Individuals or organizations seeking to outsource work or collaborate with other companies can also benefit from using an RFP process.
Fill
form
: Try Risk Free
For pdfFiller’s FAQs
Below is a list of the most common customer questions. If you can’t find an answer to your question, please don’t hesitate to reach out to us.
How do I edit request for proposal online?
pdfFiller not only allows you to edit the content of your files but fully rearrange them by changing the number and sequence of pages. Upload your request for proposal to the editor and make any required adjustments in a couple of clicks. The editor enables you to blackout, type, and erase text in PDFs, add images, sticky notes and text boxes, and much more.
Can I edit request for proposal on an Android device?
You can edit, sign, and distribute request for proposal on your mobile device from anywhere using the pdfFiller mobile app for Android; all you need is an internet connection. Download the app and begin streamlining your document workflow from anywhere.
How do I fill out request for proposal on an Android device?
Complete your request for proposal and other papers on your Android device by using the pdfFiller mobile app. The program includes all of the necessary document management tools, such as editing content, eSigning, annotating, sharing files, and so on. You will be able to view your papers at any time as long as you have an internet connection.
What is request for proposal?
A request for proposal (RFP) is a document that solicits proposals from potential vendors for a project or service.
Who is required to file request for proposal?
Any organization or government agency looking to procure goods or services.
How to fill out request for proposal?
To fill out a request for proposal, vendors must carefully review the requirements outlined in the document and submit a detailed proposal that addresses all the criteria.
What is the purpose of request for proposal?
The purpose of a request for proposal is to invite vendors to submit their proposals to meet specific project requirements, allowing the organization to select the best-suited vendor.
What information must be reported on request for proposal?
The request for proposal must include information about the project scope, objectives, timelines, evaluation criteria, and any specific requirements or expectations.
Fill out your request for proposal online with pdfFiller!
pdfFiller is an end-to-end solution for managing, creating, and editing documents and forms in the cloud. Save time and hassle by preparing your tax forms online.
Request For Proposal is not the form you're looking for?Search for another form here.
Relevant keywords
Related Forms
If you believe that this page should be taken down, please follow our DMCA take down process
here
.
This form may include fields for payment information. Data entered in these fields is not covered by PCI DSS compliance.