Get the free Ch- 7 BASIC-256 A PROGRAMMING LANGUAGE
Show details
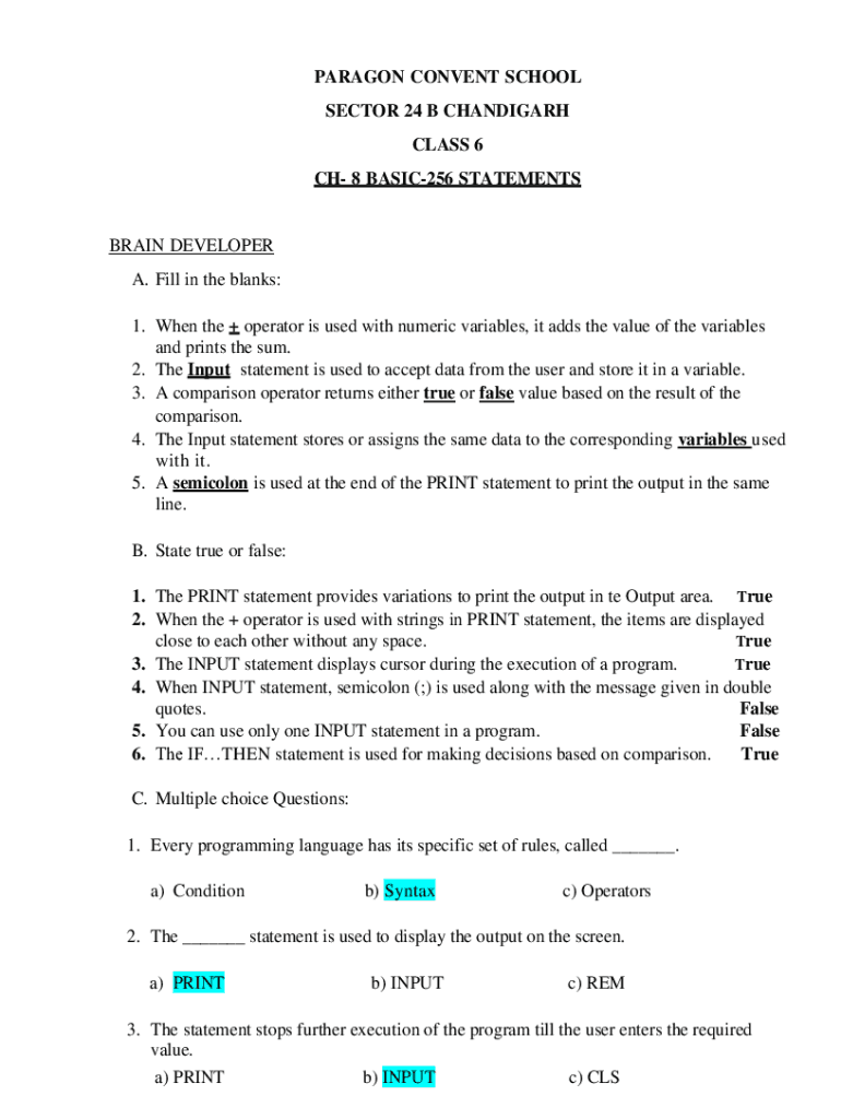
PARAGON CONVENT SCHOOL SECTOR 24 B CHANDIGARH CLASS 6 CH 8 BASIC256 STATEMENTSBRAIN DEVELOPER A. Fill in the blanks: 1. When the + operator is used with numeric variables, it adds the value of the
We are not affiliated with any brand or entity on this form
Get, Create, Make and Sign ch- 7 basic-256 a
Edit your ch- 7 basic-256 a form online
Type text, complete fillable fields, insert images, highlight or blackout data for discretion, add comments, and more.
Add your legally-binding signature
Draw or type your signature, upload a signature image, or capture it with your digital camera.
Share your form instantly
Email, fax, or share your ch- 7 basic-256 a form via URL. You can also download, print, or export forms to your preferred cloud storage service.
Editing ch- 7 basic-256 a online
Follow the guidelines below to take advantage of the professional PDF editor:
1
Check your account. It's time to start your free trial.
2
Simply add a document. Select Add New from your Dashboard and import a file into the system by uploading it from your device or importing it via the cloud, online, or internal mail. Then click Begin editing.
3
Edit ch- 7 basic-256 a. Add and replace text, insert new objects, rearrange pages, add watermarks and page numbers, and more. Click Done when you are finished editing and go to the Documents tab to merge, split, lock or unlock the file.
4
Save your file. Choose it from the list of records. Then, shift the pointer to the right toolbar and select one of the several exporting methods: save it in multiple formats, download it as a PDF, email it, or save it to the cloud.
With pdfFiller, it's always easy to work with documents.
Uncompromising security for your PDF editing and eSignature needs
Your private information is safe with pdfFiller. We employ end-to-end encryption, secure cloud storage, and advanced access control to protect your documents and maintain regulatory compliance.
How to fill out ch- 7 basic-256 a
How to fill out ch- 7 basic-256 a
01
Open the CH-7 Basic-256 A form
02
Provide your personal information such as name, address, and contact details
03
Fill out the sections regarding your income and expenses accurately
04
Provide any additional information or documentation as required
05
Review the form for completeness and accuracy before submitting
Who needs ch- 7 basic-256 a?
01
Individuals or businesses who are applying for CH-7 bankruptcy protection and are required to fill out the CH-7 Basic-256 A form
Fill
form
: Try Risk Free
For pdfFiller’s FAQs
Below is a list of the most common customer questions. If you can’t find an answer to your question, please don’t hesitate to reach out to us.
How can I modify ch- 7 basic-256 a without leaving Google Drive?
You can quickly improve your document management and form preparation by integrating pdfFiller with Google Docs so that you can create, edit and sign documents directly from your Google Drive. The add-on enables you to transform your ch- 7 basic-256 a into a dynamic fillable form that you can manage and eSign from any internet-connected device.
Can I create an electronic signature for signing my ch- 7 basic-256 a in Gmail?
It's easy to make your eSignature with pdfFiller, and then you can sign your ch- 7 basic-256 a right from your Gmail inbox with the help of pdfFiller's add-on for Gmail. This is a very important point: You must sign up for an account so that you can save your signatures and signed documents.
How do I complete ch- 7 basic-256 a on an Android device?
Complete your ch- 7 basic-256 a and other papers on your Android device by using the pdfFiller mobile app. The program includes all of the necessary document management tools, such as editing content, eSigning, annotating, sharing files, and so on. You will be able to view your papers at any time as long as you have an internet connection.
What is ch-7 basic-256 a?
ch-7 basic-256 a is a form used for filing Chapter 7 bankruptcy.
Who is required to file ch-7 basic-256 a?
Individuals or businesses who are seeking to file for Chapter 7 bankruptcy are required to file ch-7 basic-256 a.
How to fill out ch-7 basic-256 a?
To fill out ch-7 basic-256 a, you will need to provide detailed information about your financial situation, assets, debts, income, and expenses.
What is the purpose of ch-7 basic-256 a?
The purpose of ch-7 basic-256 a is to determine the eligibility of an individual or business to file for Chapter 7 bankruptcy and to provide the necessary information for the bankruptcy process.
What information must be reported on ch-7 basic-256 a?
Information such as financial assets, debts, income, expenses, creditors, and other relevant financial information must be reported on ch-7 basic-256 a.
Fill out your ch- 7 basic-256 a online with pdfFiller!
pdfFiller is an end-to-end solution for managing, creating, and editing documents and forms in the cloud. Save time and hassle by preparing your tax forms online.
Ch- 7 Basic-256 A is not the form you're looking for?Search for another form here.
Relevant keywords
Related Forms
If you believe that this page should be taken down, please follow our DMCA take down process
here
.
This form may include fields for payment information. Data entered in these fields is not covered by PCI DSS compliance.