Get the free Baltimore Alumnae Chapter Delta Sigma Theta Sorority, Inc.
Show details
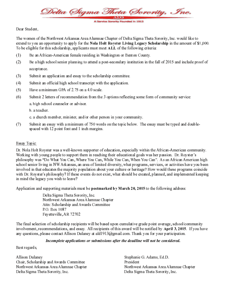
Dear Student, The women of the Northwest Arkansas Area Alumnae Chapter of Delta Sigma Theta Sorority, Inc. would like to extend to you an opportunity to apply for the Nola Holt Roster Living Legacy
We are not affiliated with any brand or entity on this form
Get, Create, Make and Sign baltimore alumnae chapter delta
Edit your baltimore alumnae chapter delta form online
Type text, complete fillable fields, insert images, highlight or blackout data for discretion, add comments, and more.
Add your legally-binding signature
Draw or type your signature, upload a signature image, or capture it with your digital camera.
Share your form instantly
Email, fax, or share your baltimore alumnae chapter delta form via URL. You can also download, print, or export forms to your preferred cloud storage service.
How to edit baltimore alumnae chapter delta online
Follow the steps down below to benefit from a competent PDF editor:
1
Log in. Click Start Free Trial and create a profile if necessary.
2
Upload a document. Select Add New on your Dashboard and transfer a file into the system in one of the following ways: by uploading it from your device or importing from the cloud, web, or internal mail. Then, click Start editing.
3
Edit baltimore alumnae chapter delta. Replace text, adding objects, rearranging pages, and more. Then select the Documents tab to combine, divide, lock or unlock the file.
4
Get your file. Select your file from the documents list and pick your export method. You may save it as a PDF, email it, or upload it to the cloud.
With pdfFiller, dealing with documents is always straightforward. Try it right now!
Uncompromising security for your PDF editing and eSignature needs
Your private information is safe with pdfFiller. We employ end-to-end encryption, secure cloud storage, and advanced access control to protect your documents and maintain regulatory compliance.
How to fill out baltimore alumnae chapter delta
How to fill out baltimore alumnae chapter delta
01
Obtain the necessary application form from the Baltimore Alumnae Chapter of Delta
02
Fill out the form completely and accurately with your personal information
03
Submit the completed form along with any required documents or fees as specified by the chapter
Who needs baltimore alumnae chapter delta?
01
People who are interested in becoming a member of the Baltimore Alumnae Chapter of Delta
Fill
form
: Try Risk Free
For pdfFiller’s FAQs
Below is a list of the most common customer questions. If you can’t find an answer to your question, please don’t hesitate to reach out to us.
How do I modify my baltimore alumnae chapter delta in Gmail?
It's easy to use pdfFiller's Gmail add-on to make and edit your baltimore alumnae chapter delta and any other documents you get right in your email. You can also eSign them. Take a look at the Google Workspace Marketplace and get pdfFiller for Gmail. Get rid of the time-consuming steps and easily manage your documents and eSignatures with the help of an app.
How can I send baltimore alumnae chapter delta to be eSigned by others?
Once your baltimore alumnae chapter delta is complete, you can securely share it with recipients and gather eSignatures with pdfFiller in just a few clicks. You may transmit a PDF by email, text message, fax, USPS mail, or online notarization directly from your account. Make an account right now and give it a go.
How do I complete baltimore alumnae chapter delta on an iOS device?
Download and install the pdfFiller iOS app. Then, launch the app and log in or create an account to have access to all of the editing tools of the solution. Upload your baltimore alumnae chapter delta from your device or cloud storage to open it, or input the document URL. After filling out all of the essential areas in the document and eSigning it (if necessary), you may save it or share it with others.
What is baltimore alumnae chapter delta?
Baltimore Alumnae Chapter Delta is a chapter of the Delta Sigma Theta Sorority, an organization dedicated to empowering and supporting women.
Who is required to file baltimore alumnae chapter delta?
Members of the Baltimore Alumnae Chapter Delta are required to file the necessary reports and documentation.
How to fill out baltimore alumnae chapter delta?
To fill out Baltimore Alumnae Chapter Delta forms, members must provide all requested information accurately and in a timely manner.
What is the purpose of baltimore alumnae chapter delta?
The purpose of Baltimore Alumnae Chapter Delta is to promote sisterhood, community service, and personal development among its members.
What information must be reported on baltimore alumnae chapter delta?
Information such as financial statements, event participation, and community service projects must be reported on Baltimore Alumnae Chapter Delta forms.
Fill out your baltimore alumnae chapter delta online with pdfFiller!
pdfFiller is an end-to-end solution for managing, creating, and editing documents and forms in the cloud. Save time and hassle by preparing your tax forms online.
Baltimore Alumnae Chapter Delta is not the form you're looking for?Search for another form here.
Relevant keywords
Related Forms
If you believe that this page should be taken down, please follow our DMCA take down process
here
.
This form may include fields for payment information. Data entered in these fields is not covered by PCI DSS compliance.