Get the free mendham township public schools
Show details
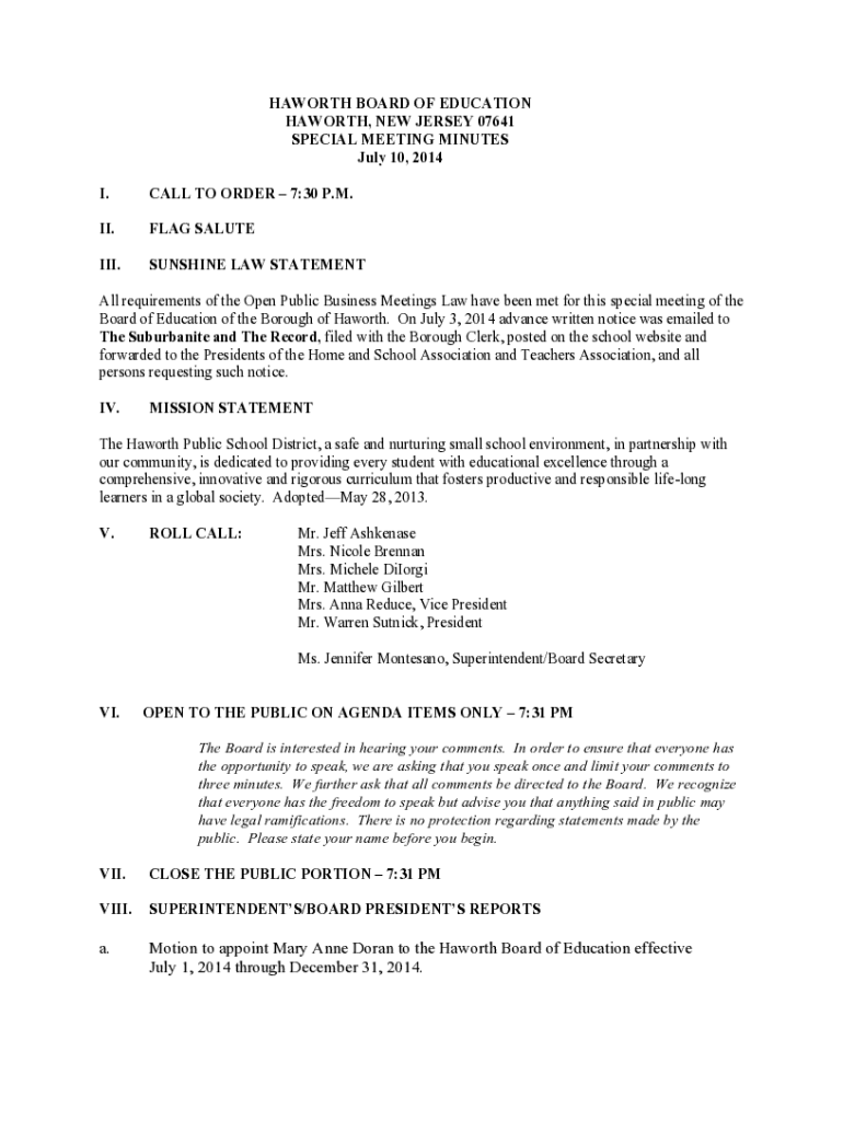
HAYWORTH BOARD OF EDUCATION HAYWORTH, NEW JERSEY 07641 SPECIAL MEETING MINUTES July 10, 2014, I.CALL TO ORDER 7:30 P.M.II.FLAG SALUTE.SUNSHINE LAW Statement requirements of the Open Public Business
We are not affiliated with any brand or entity on this form
Get, Create, Make and Sign mendham township public schools
Edit your mendham township public schools form online
Type text, complete fillable fields, insert images, highlight or blackout data for discretion, add comments, and more.
Add your legally-binding signature
Draw or type your signature, upload a signature image, or capture it with your digital camera.
Share your form instantly
Email, fax, or share your mendham township public schools form via URL. You can also download, print, or export forms to your preferred cloud storage service.
Editing mendham township public schools online
In order to make advantage of the professional PDF editor, follow these steps:
1
Log in to account. Click Start Free Trial and sign up a profile if you don't have one.
2
Upload a document. Select Add New on your Dashboard and transfer a file into the system in one of the following ways: by uploading it from your device or importing from the cloud, web, or internal mail. Then, click Start editing.
3
Edit mendham township public schools. Rearrange and rotate pages, add new and changed texts, add new objects, and use other useful tools. When you're done, click Done. You can use the Documents tab to merge, split, lock, or unlock your files.
4
Get your file. Select your file from the documents list and pick your export method. You may save it as a PDF, email it, or upload it to the cloud.
The use of pdfFiller makes dealing with documents straightforward.
Uncompromising security for your PDF editing and eSignature needs
Your private information is safe with pdfFiller. We employ end-to-end encryption, secure cloud storage, and advanced access control to protect your documents and maintain regulatory compliance.
How to fill out mendham township public schools
How to fill out mendham township public schools
01
Obtain a registration packet from the Mendham Township Public Schools website or school office.
02
Complete all required forms including student information, emergency contacts, health history, etc.
03
Gather necessary documentation such as proof of residency, birth certificate, immunization records, etc.
04
Submit the completed packet and documentation to the school office.
05
Schedule a meeting with school officials for any additional steps or interviews.
Who needs mendham township public schools?
01
Families with school-aged children residing in the Mendham Township area.
Fill
form
: Try Risk Free
For pdfFiller’s FAQs
Below is a list of the most common customer questions. If you can’t find an answer to your question, please don’t hesitate to reach out to us.
Can I create an electronic signature for the mendham township public schools in Chrome?
Yes. With pdfFiller for Chrome, you can eSign documents and utilize the PDF editor all in one spot. Create a legally enforceable eSignature by sketching, typing, or uploading a handwritten signature image. You may eSign your mendham township public schools in seconds.
How can I edit mendham township public schools on a smartphone?
The pdfFiller apps for iOS and Android smartphones are available in the Apple Store and Google Play Store. You may also get the program at https://edit-pdf-ios-android.pdffiller.com/. Open the web app, sign in, and start editing mendham township public schools.
How do I fill out mendham township public schools on an Android device?
Use the pdfFiller mobile app and complete your mendham township public schools and other documents on your Android device. The app provides you with all essential document management features, such as editing content, eSigning, annotating, sharing files, etc. You will have access to your documents at any time, as long as there is an internet connection.
What is mendham township public schools?
Mendham Township Public Schools is a school district located in Mendham, New Jersey.
Who is required to file mendham township public schools?
All residents of Mendham Township or parents of students attending the schools are required to file Mendham Township Public Schools.
How to fill out mendham township public schools?
To fill out Mendham Township Public Schools, residents or parents can visit the school district's website or contact the administration for assistance.
What is the purpose of mendham township public schools?
The purpose of Mendham Township Public Schools is to provide quality education to students in the Mendham community.
What information must be reported on mendham township public schools?
Information reported on Mendham Township Public Schools may include student demographics, academic performance, and attendance records.
Fill out your mendham township public schools online with pdfFiller!
pdfFiller is an end-to-end solution for managing, creating, and editing documents and forms in the cloud. Save time and hassle by preparing your tax forms online.
Mendham Township Public Schools is not the form you're looking for?Search for another form here.
Relevant keywords
Related Forms
If you believe that this page should be taken down, please follow our DMCA take down process
here
.
This form may include fields for payment information. Data entered in these fields is not covered by PCI DSS compliance.