
Get the free Nursing DegreesB.S.N. and M.S.N. - Lamar University
Show details
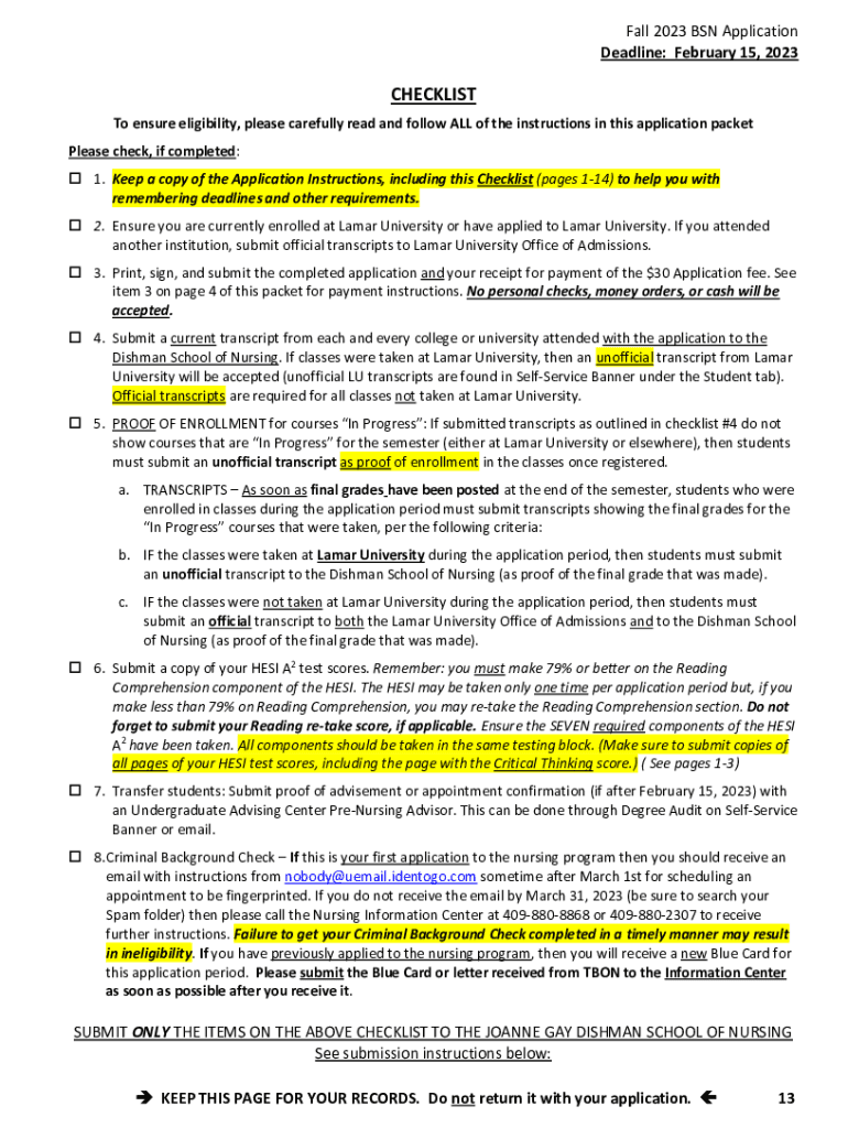
Fall 2023 BSN Application Deadline: February 15, 2023, LAMAR UNIVERSITY COLLEGE OF ARTS AND SCIENCES JOANNE GAY DISHPAN SCHOOL OF NURSING Baccalaureate Degree Nursing Program Application for Fall
We are not affiliated with any brand or entity on this form
Get, Create, Make and Sign nursing degreesbsn and msn

Edit your nursing degreesbsn and msn form online
Type text, complete fillable fields, insert images, highlight or blackout data for discretion, add comments, and more.

Add your legally-binding signature
Draw or type your signature, upload a signature image, or capture it with your digital camera.

Share your form instantly
Email, fax, or share your nursing degreesbsn and msn form via URL. You can also download, print, or export forms to your preferred cloud storage service.
Editing nursing degreesbsn and msn online
To use our professional PDF editor, follow these steps:
1
Create an account. Begin by choosing Start Free Trial and, if you are a new user, establish a profile.
2
Prepare a file. Use the Add New button to start a new project. Then, using your device, upload your file to the system by importing it from internal mail, the cloud, or adding its URL.
3
Edit nursing degreesbsn and msn. Rearrange and rotate pages, insert new and alter existing texts, add new objects, and take advantage of other helpful tools. Click Done to apply changes and return to your Dashboard. Go to the Documents tab to access merging, splitting, locking, or unlocking functions.
4
Save your file. Select it in the list of your records. Then, move the cursor to the right toolbar and choose one of the available exporting methods: save it in multiple formats, download it as a PDF, send it by email, or store it in the cloud.
pdfFiller makes dealing with documents a breeze. Create an account to find out!
Uncompromising security for your PDF editing and eSignature needs
Your private information is safe with pdfFiller. We employ end-to-end encryption, secure cloud storage, and advanced access control to protect your documents and maintain regulatory compliance.
How to fill out nursing degreesbsn and msn

How to fill out nursing degreesbsn and msn
01
Research the specific nursing programs available for BSN and MSN degrees.
02
Check the admission requirements for each program, such as GPA requirements, letters of recommendation, and prerequisite courses.
03
Complete and submit the application form for the desired nursing program.
04
Prepare for and take any required entrance exams, such as the GRE or TEAS.
05
Gather and submit any additional application materials, such as personal statements or resumes.
06
Wait for notification of acceptance into the program and complete any required pre-enrollment steps.
07
Begin coursework for the nursing degree and fulfill all program requirements to graduate.
Who needs nursing degreesbsn and msn?
01
Individuals who are interested in pursuing a career in nursing and want to advance their education and career opportunities.
02
Current registered nurses who want to enhance their knowledge and skills in nursing through advanced study and specialization.
Fill
form
: Try Risk Free
For pdfFiller’s FAQs
Below is a list of the most common customer questions. If you can’t find an answer to your question, please don’t hesitate to reach out to us.
How do I execute nursing degreesbsn and msn online?
Filling out and eSigning nursing degreesbsn and msn is now simple. The solution allows you to change and reorganize PDF text, add fillable fields, and eSign the document. Start a free trial of pdfFiller, the best document editing solution.
How do I make edits in nursing degreesbsn and msn without leaving Chrome?
Get and add pdfFiller Google Chrome Extension to your browser to edit, fill out and eSign your nursing degreesbsn and msn, which you can open in the editor directly from a Google search page in just one click. Execute your fillable documents from any internet-connected device without leaving Chrome.
How do I edit nursing degreesbsn and msn on an Android device?
You can edit, sign, and distribute nursing degreesbsn and msn on your mobile device from anywhere using the pdfFiller mobile app for Android; all you need is an internet connection. Download the app and begin streamlining your document workflow from anywhere.
What is nursing degreesbsn and msn?
A Bachelor of Science in Nursing (BSN) is an undergraduate degree that prepares nurses for practice in various healthcare settings, while a Master of Science in Nursing (MSN) is a graduate degree that allows registered nurses to specialize in advanced clinical practice, administration, or education.
Who is required to file nursing degreesbsn and msn?
Individuals pursuing nursing degrees, particularly those seeking to obtain licensure or advanced practice roles as registered nurses, are typically required to file documentation related to their BSN or MSN programs.
How to fill out nursing degreesbsn and msn?
Filing for nursing degrees usually involves submitting an application form to the educational institution along with required documentation, such as proof of prior education, transcripts, and any prerequisite courses.
What is the purpose of nursing degreesbsn and msn?
The purpose of a BSN is to provide foundational nursing education and enhance clinical competencies, while an MSN aims to develop advanced nursing skills, leadership abilities, and specialized knowledge for advanced practice and roles.
What information must be reported on nursing degreesbsn and msn?
Required information typically includes personal identification details, educational background, degrees earned, clinical experience, and any nursing licenses held.
Fill out your nursing degreesbsn and msn online with pdfFiller!
pdfFiller is an end-to-end solution for managing, creating, and editing documents and forms in the cloud. Save time and hassle by preparing your tax forms online.

Nursing Degreesbsn And Msn is not the form you're looking for?Search for another form here.
Relevant keywords
Related Forms
If you believe that this page should be taken down, please follow our DMCA take down process
here
.
This form may include fields for payment information. Data entered in these fields is not covered by PCI DSS compliance.