Get the free FREDERICTON HIGH SCHOOL SPORT CODE OF CONDUCT - secure1 nbed nb
Show details
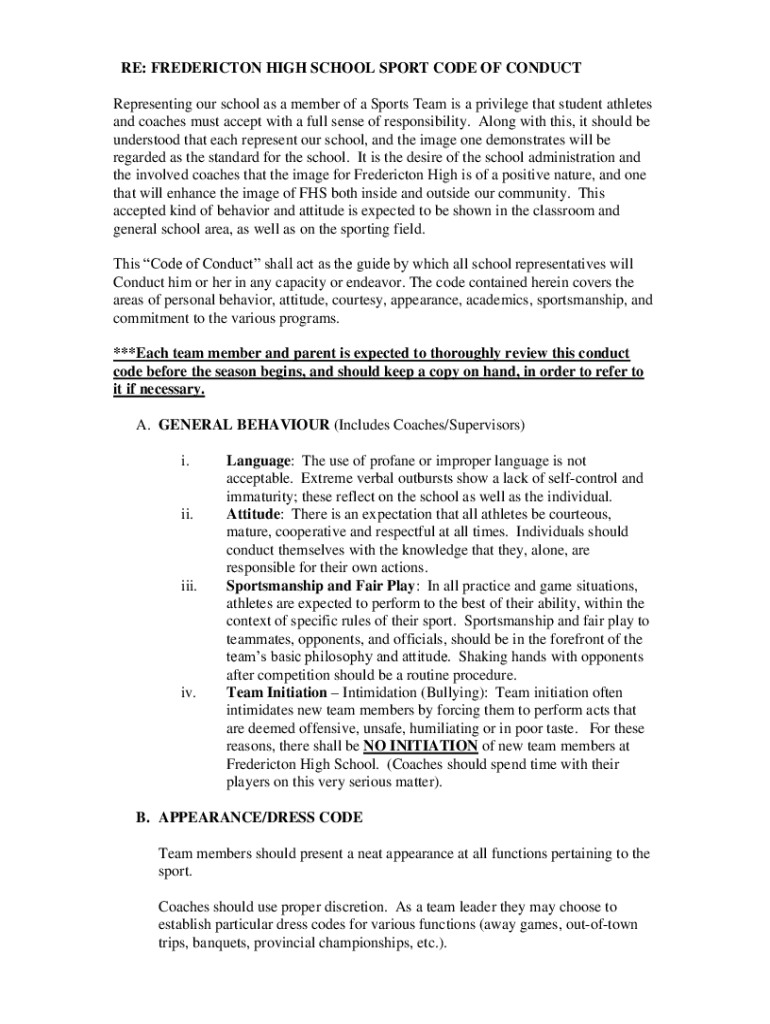
RE: FREDERICTON HIGH SCHOOL SPORT CODE OF CONDUCT Representing our school as a member of a Sports Team is a privilege that student athletes and coaches must accept with a full sense of responsibility.
We are not affiliated with any brand or entity on this form
Get, Create, Make and Sign fredericton high school sport
Edit your fredericton high school sport form online
Type text, complete fillable fields, insert images, highlight or blackout data for discretion, add comments, and more.
Add your legally-binding signature
Draw or type your signature, upload a signature image, or capture it with your digital camera.
Share your form instantly
Email, fax, or share your fredericton high school sport form via URL. You can also download, print, or export forms to your preferred cloud storage service.
How to edit fredericton high school sport online
To use our professional PDF editor, follow these steps:
1
Create an account. Begin by choosing Start Free Trial and, if you are a new user, establish a profile.
2
Prepare a file. Use the Add New button. Then upload your file to the system from your device, importing it from internal mail, the cloud, or by adding its URL.
3
Edit fredericton high school sport. Rearrange and rotate pages, add and edit text, and use additional tools. To save changes and return to your Dashboard, click Done. The Documents tab allows you to merge, divide, lock, or unlock files.
4
Get your file. When you find your file in the docs list, click on its name and choose how you want to save it. To get the PDF, you can save it, send an email with it, or move it to the cloud.
It's easier to work with documents with pdfFiller than you could have believed. You can sign up for an account to see for yourself.
Uncompromising security for your PDF editing and eSignature needs
Your private information is safe with pdfFiller. We employ end-to-end encryption, secure cloud storage, and advanced access control to protect your documents and maintain regulatory compliance.
How to fill out fredericton high school sport
How to fill out fredericton high school sport
01
Consult the sports department at Fredericton High School to obtain the necessary forms and information.
02
Fill out the required forms, including emergency contact information, medical history, and consent forms.
03
Provide any additional documentation requested, such as proof of insurance or physical examination records.
04
Submit the completed forms to the sports department before the deadline specified.
Who needs fredericton high school sport?
01
Students who want to participate in sports at Fredericton High School.
02
Parents or guardians of students who wish to join sports teams at the school.
03
Coaches, instructors, and staff involved in organizing and supervising sports activities at the school.
Fill
form
: Try Risk Free
For pdfFiller’s FAQs
Below is a list of the most common customer questions. If you can’t find an answer to your question, please don’t hesitate to reach out to us.
How can I modify fredericton high school sport without leaving Google Drive?
It is possible to significantly enhance your document management and form preparation by combining pdfFiller with Google Docs. This will allow you to generate papers, amend them, and sign them straight from your Google Drive. Use the add-on to convert your fredericton high school sport into a dynamic fillable form that can be managed and signed using any internet-connected device.
How do I make edits in fredericton high school sport without leaving Chrome?
Download and install the pdfFiller Google Chrome Extension to your browser to edit, fill out, and eSign your fredericton high school sport, which you can open in the editor with a single click from a Google search page. Fillable documents may be executed from any internet-connected device without leaving Chrome.
How do I fill out fredericton high school sport using my mobile device?
You can easily create and fill out legal forms with the help of the pdfFiller mobile app. Complete and sign fredericton high school sport and other documents on your mobile device using the application. Visit pdfFiller’s webpage to learn more about the functionalities of the PDF editor.
What is fredericton high school sport?
Fredericton High School sports include a variety of competitive activities such as basketball, soccer, track and field, and more.
Who is required to file fredericton high school sport?
Athletic directors, coaches, and school administrators are required to file fredericton high school sport.
How to fill out fredericton high school sport?
To fill out fredericton high school sport, one must gather information on all sports teams, list the schedule of games, report on athletes' performance, and submit it to the appropriate department.
What is the purpose of fredericton high school sport?
The purpose of fredericton high school sports is to promote physical activity, teamwork, sportsmanship, and school spirit among students.
What information must be reported on fredericton high school sport?
Information such as team rosters, game results, player statistics, and any disciplinary actions must be reported on fredericton high school sport.
Fill out your fredericton high school sport online with pdfFiller!
pdfFiller is an end-to-end solution for managing, creating, and editing documents and forms in the cloud. Save time and hassle by preparing your tax forms online.
Fredericton High School Sport is not the form you're looking for?Search for another form here.
Relevant keywords
Related Forms
If you believe that this page should be taken down, please follow our DMCA take down process
here
.
This form may include fields for payment information. Data entered in these fields is not covered by PCI DSS compliance.