Get the free Judicial Stamp Paper as per State Rules) AFFIDAVIT BY ...
Show details
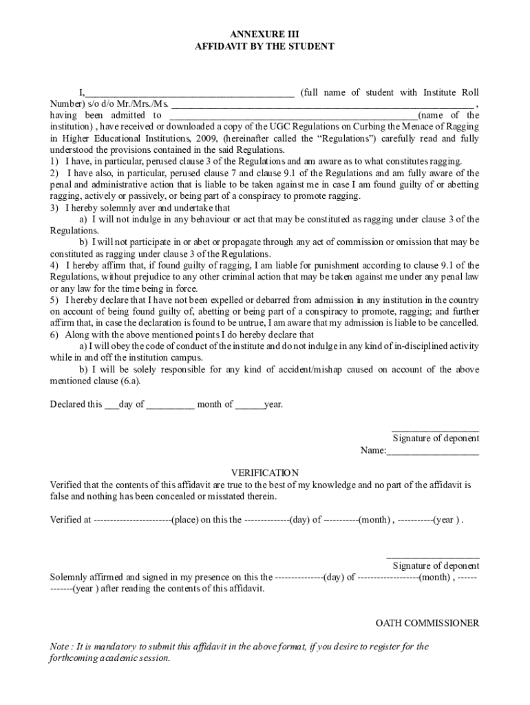
Appendix III AFFIDAVIT BY THE STUDENTS, ___ (full name of student with Institute Roll Number) s/o d/o Mr./Mrs./Ms. ___, having been admitted to ___(name of the institution), have received or downloaded
We are not affiliated with any brand or entity on this form
Get, Create, Make and Sign judicial stamp paper as
Edit your judicial stamp paper as form online
Type text, complete fillable fields, insert images, highlight or blackout data for discretion, add comments, and more.
Add your legally-binding signature
Draw or type your signature, upload a signature image, or capture it with your digital camera.
Share your form instantly
Email, fax, or share your judicial stamp paper as form via URL. You can also download, print, or export forms to your preferred cloud storage service.
Editing judicial stamp paper as online
To use our professional PDF editor, follow these steps:
1
Sign into your account. In case you're new, it's time to start your free trial.
2
Upload a document. Select Add New on your Dashboard and transfer a file into the system in one of the following ways: by uploading it from your device or importing from the cloud, web, or internal mail. Then, click Start editing.
3
Edit judicial stamp paper as. Replace text, adding objects, rearranging pages, and more. Then select the Documents tab to combine, divide, lock or unlock the file.
4
Get your file. Select your file from the documents list and pick your export method. You may save it as a PDF, email it, or upload it to the cloud.
With pdfFiller, it's always easy to work with documents. Check it out!
Uncompromising security for your PDF editing and eSignature needs
Your private information is safe with pdfFiller. We employ end-to-end encryption, secure cloud storage, and advanced access control to protect your documents and maintain regulatory compliance.
How to fill out judicial stamp paper as
How to fill out judicial stamp paper as
01
Obtain a judicial stamp paper from an authorized vendor or office.
02
Fill in the required details such as the date, amount, purpose, and parties involved in the transaction.
03
Make sure to use a pen with blue or black ink for writing on the stamp paper.
04
Sign the stamp paper at the designated place as per the requirements.
05
Keep a copy of the filled out stamp paper for your records.
Who needs judicial stamp paper as?
01
Individuals or businesses involved in legal transactions such as property agreements, lease agreements, affidavits, or any other legally binding documents.
Fill
form
: Try Risk Free
For pdfFiller’s FAQs
Below is a list of the most common customer questions. If you can’t find an answer to your question, please don’t hesitate to reach out to us.
Can I create an electronic signature for signing my judicial stamp paper as in Gmail?
When you use pdfFiller's add-on for Gmail, you can add or type a signature. You can also draw a signature. pdfFiller lets you eSign your judicial stamp paper as and other documents right from your email. In order to keep signed documents and your own signatures, you need to sign up for an account.
How do I complete judicial stamp paper as on an iOS device?
Install the pdfFiller iOS app. Log in or create an account to access the solution's editing features. Open your judicial stamp paper as by uploading it from your device or online storage. After filling in all relevant fields and eSigning if required, you may save or distribute the document.
How do I fill out judicial stamp paper as on an Android device?
Use the pdfFiller mobile app and complete your judicial stamp paper as and other documents on your Android device. The app provides you with all essential document management features, such as editing content, eSigning, annotating, sharing files, etc. You will have access to your documents at any time, as long as there is an internet connection.
What is judicial stamp paper as?
Judicial stamp paper is a type of stamp paper that is used for legal or court-related purposes, such as affidavits, contracts, or court fees.
Who is required to file judicial stamp paper as?
Individuals or entities involved in legal transactions or court proceedings may be required to file judicial stamp paper.
How to fill out judicial stamp paper as?
Judicial stamp paper must be filled out with relevant information, such as names of parties involved, details of the transaction, and the amount of stamp duty paid.
What is the purpose of judicial stamp paper as?
The purpose of judicial stamp paper is to authenticate legal documents and ensure payment of stamp duty as required by law.
What information must be reported on judicial stamp paper as?
Information such as names of parties, details of transaction, amount of stamp duty paid, and date of execution must be reported on judicial stamp paper.
Fill out your judicial stamp paper as online with pdfFiller!
pdfFiller is an end-to-end solution for managing, creating, and editing documents and forms in the cloud. Save time and hassle by preparing your tax forms online.
Judicial Stamp Paper As is not the form you're looking for?Search for another form here.
Relevant keywords
Related Forms
If you believe that this page should be taken down, please follow our DMCA take down process
here
.
This form may include fields for payment information. Data entered in these fields is not covered by PCI DSS compliance.