
Get the free ica, inc. and plasterers' and cement masons' local union #692
Show details
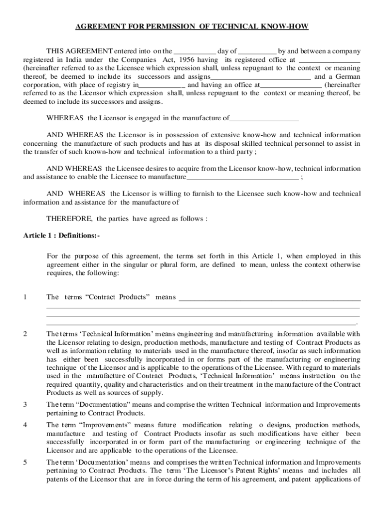
AGREEMENT FOR PERMISSION OF TECHNICAL KNOWHOWTHIS AGREEMENT entered into on the ___ day of ___ by and between a company registered in India under the Companies Act, 1956 having its registered office
We are not affiliated with any brand or entity on this form
Get, Create, Make and Sign ica inc and plasterers

Edit your ica inc and plasterers form online
Type text, complete fillable fields, insert images, highlight or blackout data for discretion, add comments, and more.

Add your legally-binding signature
Draw or type your signature, upload a signature image, or capture it with your digital camera.

Share your form instantly
Email, fax, or share your ica inc and plasterers form via URL. You can also download, print, or export forms to your preferred cloud storage service.
How to edit ica inc and plasterers online
Follow the steps down below to benefit from a competent PDF editor:
1
Log in. Click Start Free Trial and create a profile if necessary.
2
Simply add a document. Select Add New from your Dashboard and import a file into the system by uploading it from your device or importing it via the cloud, online, or internal mail. Then click Begin editing.
3
Edit ica inc and plasterers. Rearrange and rotate pages, add and edit text, and use additional tools. To save changes and return to your Dashboard, click Done. The Documents tab allows you to merge, divide, lock, or unlock files.
4
Save your file. Select it from your records list. Then, click the right toolbar and select one of the various exporting options: save in numerous formats, download as PDF, email, or cloud.
pdfFiller makes dealing with documents a breeze. Create an account to find out!
Uncompromising security for your PDF editing and eSignature needs
Your private information is safe with pdfFiller. We employ end-to-end encryption, secure cloud storage, and advanced access control to protect your documents and maintain regulatory compliance.
How to fill out ica inc and plasterers

How to fill out ica inc and plasterers
01
Gather all necessary information and documentation required to fill out the ICA Inc and Plasterers form.
02
Fill out the form accurately and completely, following all instructions provided.
03
Submit the completed form to the appropriate authorities or organizations as per their guidelines.
Who needs ica inc and plasterers?
01
Contractors and companies in the construction industry who require insurance certificates and coverage for their work.
02
Plasterers who need to provide proof of insurance and liability coverage for their services.
Fill
form
: Try Risk Free
For pdfFiller’s FAQs
Below is a list of the most common customer questions. If you can’t find an answer to your question, please don’t hesitate to reach out to us.
How do I edit ica inc and plasterers online?
The editing procedure is simple with pdfFiller. Open your ica inc and plasterers in the editor. You may also add photos, draw arrows and lines, insert sticky notes and text boxes, and more.
Can I create an electronic signature for signing my ica inc and plasterers in Gmail?
Create your eSignature using pdfFiller and then eSign your ica inc and plasterers immediately from your email with pdfFiller's Gmail add-on. To keep your signatures and signed papers, you must create an account.
How do I edit ica inc and plasterers on an iOS device?
Yes, you can. With the pdfFiller mobile app, you can instantly edit, share, and sign ica inc and plasterers on your iOS device. Get it at the Apple Store and install it in seconds. The application is free, but you will have to create an account to purchase a subscription or activate a free trial.
What is ica inc and plasterers?
ICA Inc. and plasterers are a type of tax form used for reporting income and expenses related to construction work.
Who is required to file ica inc and plasterers?
Contractors, subcontractors, and businesses involved in construction projects are required to file ICA Inc. and plasterers.
How to fill out ica inc and plasterers?
Fill out the form with accurate information regarding income, expenses, and other relevant financial data related to construction work.
What is the purpose of ica inc and plasterers?
The purpose of ICA Inc. and plasterers is to report income and expenses for construction projects and ensure compliance with tax regulations.
What information must be reported on ica inc and plasterers?
Information such as gross income, expenses, subcontractor payments, and any other financial details related to construction work must be reported on ICA Inc. and plasterers.
Fill out your ica inc and plasterers online with pdfFiller!
pdfFiller is an end-to-end solution for managing, creating, and editing documents and forms in the cloud. Save time and hassle by preparing your tax forms online.

Ica Inc And Plasterers is not the form you're looking for?Search for another form here.
Relevant keywords
Related Forms
If you believe that this page should be taken down, please follow our DMCA take down process
here
.
This form may include fields for payment information. Data entered in these fields is not covered by PCI DSS compliance.