Get the free SIDA Identification Badges at L.G. Hanscom Field - Massport
Show details
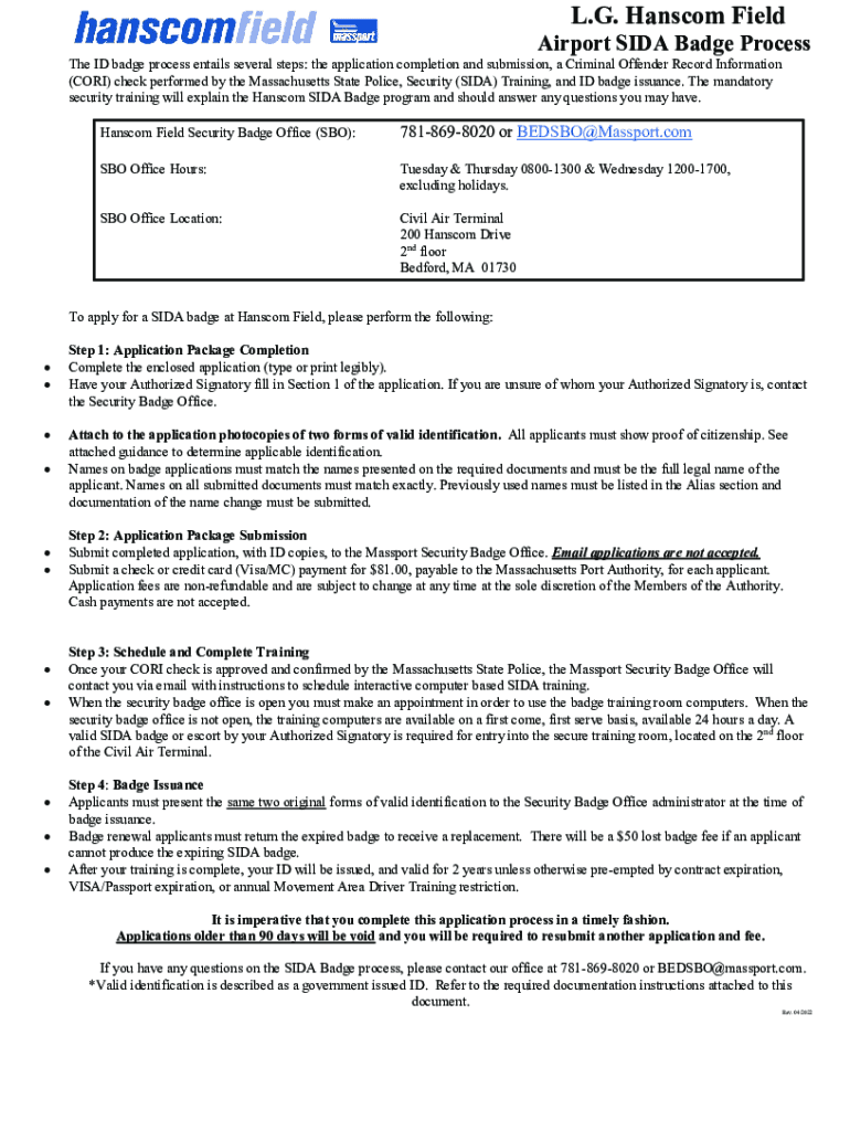
L.G. Hansom FieldAirport SIDA Badge Process ID badge process entails several steps: the application completion and submission, a Criminal Offender Record Information (CORI) check performed by the
We are not affiliated with any brand or entity on this form
Get, Create, Make and Sign sida identification badges at
Edit your sida identification badges at form online
Type text, complete fillable fields, insert images, highlight or blackout data for discretion, add comments, and more.
Add your legally-binding signature
Draw or type your signature, upload a signature image, or capture it with your digital camera.
Share your form instantly
Email, fax, or share your sida identification badges at form via URL. You can also download, print, or export forms to your preferred cloud storage service.
How to edit sida identification badges at online
Use the instructions below to start using our professional PDF editor:
1
Set up an account. If you are a new user, click Start Free Trial and establish a profile.
2
Upload a file. Select Add New on your Dashboard and upload a file from your device or import it from the cloud, online, or internal mail. Then click Edit.
3
Edit sida identification badges at. Text may be added and replaced, new objects can be included, pages can be rearranged, watermarks and page numbers can be added, and so on. When you're done editing, click Done and then go to the Documents tab to combine, divide, lock, or unlock the file.
4
Save your file. Choose it from the list of records. Then, shift the pointer to the right toolbar and select one of the several exporting methods: save it in multiple formats, download it as a PDF, email it, or save it to the cloud.
With pdfFiller, it's always easy to work with documents.
Uncompromising security for your PDF editing and eSignature needs
Your private information is safe with pdfFiller. We employ end-to-end encryption, secure cloud storage, and advanced access control to protect your documents and maintain regulatory compliance.
How to fill out sida identification badges at
How to fill out sida identification badges at
01
Contact the Sida administrator to request an identification badge.
02
Fill out the required information on the badge such as name, employee ID, and department.
03
Attach a passport-size photo to the badge.
04
Collect the badge from the administrator once it has been processed.
Who needs sida identification badges at?
01
Employees of Sida who work in the office
02
Visitors or guests entering Sida's premises
Fill
form
: Try Risk Free
For pdfFiller’s FAQs
Below is a list of the most common customer questions. If you can’t find an answer to your question, please don’t hesitate to reach out to us.
How do I make changes in sida identification badges at?
With pdfFiller, you may not only alter the content but also rearrange the pages. Upload your sida identification badges at and modify it with a few clicks. The editor lets you add photos, sticky notes, text boxes, and more to PDFs.
Can I create an electronic signature for signing my sida identification badges at in Gmail?
You can easily create your eSignature with pdfFiller and then eSign your sida identification badges at directly from your inbox with the help of pdfFiller’s add-on for Gmail. Please note that you must register for an account in order to save your signatures and signed documents.
How do I fill out the sida identification badges at form on my smartphone?
You can quickly make and fill out legal forms with the help of the pdfFiller app on your phone. Complete and sign sida identification badges at and other documents on your mobile device using the application. If you want to learn more about how the PDF editor works, go to pdfFiller.com.
What is sida identification badges at?
Sida identification badges are typically issued at airports for individuals who require access to secure areas.
Who is required to file sida identification badges at?
Employees, contractors, and vendors who need access to secure areas at airports are required to file for sida identification badges.
How to fill out sida identification badges at?
To fill out sida identification badges, individuals must typically submit an application form, provide necessary identification documents, and undergo a background check.
What is the purpose of sida identification badges at?
The purpose of sida identification badges is to ensure only authorized individuals have access to secure areas at airports, enhancing security measures.
What information must be reported on sida identification badges at?
Information such as full name, date of birth, identification number, and photograph are typically reported on sida identification badges.
Fill out your sida identification badges at online with pdfFiller!
pdfFiller is an end-to-end solution for managing, creating, and editing documents and forms in the cloud. Save time and hassle by preparing your tax forms online.
Sida Identification Badges At is not the form you're looking for?Search for another form here.
Relevant keywords
Related Forms
If you believe that this page should be taken down, please follow our DMCA take down process
here
.
This form may include fields for payment information. Data entered in these fields is not covered by PCI DSS compliance.