Form preview

Get the free New Student Forms - Jamie Campbell's Dance Company

Get Form
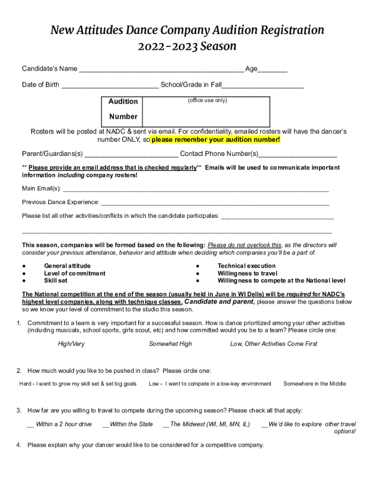
New Attitudes Dance Company Audition Registration 20222023 Season Candidates Name ___ Age___ Date of Birth ___ School/Grade in Fall___ (office use only)Audition NumberRosters will be posted at ADC
We are not affiliated with any brand or entity on this form

Get, Create, Make and Sign new student forms

Edit
Edit your new student forms form online
Type text, complete fillable fields, insert images, highlight or blackout data for discretion, add comments, and more.
Add
Add your legally-binding signature
Draw or type your signature, upload a signature image, or capture it with your digital camera.
Share
Share your form instantly
Email, fax, or share your new student forms form via URL. You can also download, print, or export forms to your preferred cloud storage service.

Editing new student forms online

9.5
Ease of Setup
pdfFiller User Ratings on G2
9.0
Ease of Use
pdfFiller User Ratings on G2
In order to make advantage of the professional PDF editor, follow these steps below:
1
Check your account. It's time to start your free trial.
2
Upload a document. Select Add New on your Dashboard and transfer a file into the system in one of the following ways: by uploading it from your device or importing from the cloud, web, or internal mail. Then, click Start editing.
3
Edit new student forms. Rearrange and rotate pages, insert new and alter existing texts, add new objects, and take advantage of other helpful tools. Click Done to apply changes and return to your Dashboard. Go to the Documents tab to access merging, splitting, locking, or unlocking functions.
4
Save your file. Select it from your list of records. Then, move your cursor to the right toolbar and choose one of the exporting options. You can save it in multiple formats, download it as a PDF, send it by email, or store it in the cloud, among other things.
pdfFiller makes dealing with documents a breeze. Create an account to find out!

Uncompromising security for your PDF editing and eSignature needs

Your private information is safe with pdfFiller. We employ end-to-end encryption, secure cloud storage, and advanced access control to protect your documents and maintain regulatory compliance.
GDPR
AICPA SOC 2
PCI
HIPAA
CCPA
FDA

How to fill out new student forms

Illustration

How to fill out new student forms

01
Obtain the new student forms from the school office or website.
02
Fill out the student's personal information such as name, date of birth, address, and contact information.
03
Provide details about the student's previous education history, including schools attended and grades received.
04
Sign and date the forms where necessary, acknowledging the accuracy of the information provided.
05
Submit the completed forms to the school administration for processing.

Who needs new student forms?

01
New students enrolling in a school or educational institution.
02
Parents or guardians of new students who are minors.
03
School administrators responsible for maintaining student records.
Fill form : Try Risk Free
Users Most Likely To Recommend - Summer 2025
Grid Leader in Small-Business - Summer 2025
High Performer - Summer 2025
Regional Leader - Summer 2025
Easiest To Do Business With - Summer 2025
Best Meets Requirements- Summer 2025
Rate the form
4.4
Satisfied
51 Votes

For pdfFiller’s FAQs

Below is a list of the most common customer questions. If you can’t find an answer to your question, please don’t hesitate to reach out to us.

You may use pdfFiller's Gmail add-on to change, fill out, and eSign your new student forms as well as other documents directly in your inbox by using the pdfFiller add-on for Gmail. pdfFiller for Gmail may be found on the Google Workspace Marketplace. Use the time you would have spent dealing with your papers and eSignatures for more vital tasks instead.
It's simple using pdfFiller, an online document management tool. Use our huge online form collection (over 25M fillable forms) to quickly discover the new student forms. Open it immediately and start altering it with sophisticated capabilities.
Yes, you can. With the pdfFiller mobile app, you can instantly edit, share, and sign new student forms on your iOS device. Get it at the Apple Store and install it in seconds. The application is free, but you will have to create an account to purchase a subscription or activate a free trial.
New student forms are documents that need to be completed by students who are enrolling in a school for the first time.
New students who are enrolling in a school for the first time are required to file new student forms.
To fill out new student forms, students need to provide personal information such as name, address, contact details, previous educational background, and any other required information requested by the school.
The purpose of new student forms is to gather necessary information about new students to ensure they are properly enrolled and supported in the school.
New student forms typically require information such as personal details, emergency contacts, medical history, educational background, and any special needs or accommodations.
Fill out your new student forms online with pdfFiller!

pdfFiller is an end-to-end solution for managing, creating, and editing documents and forms in the cloud. Save time and hassle by preparing your tax forms online.

Get started now
Form preview
If you believe that this page should be taken down, please follow our DMCA take down process here .
This form may include fields for payment information. Data entered in these fields is not covered by PCI DSS compliance.