Get the free Short Service Commission (JAG) Registration Application ...
Show details
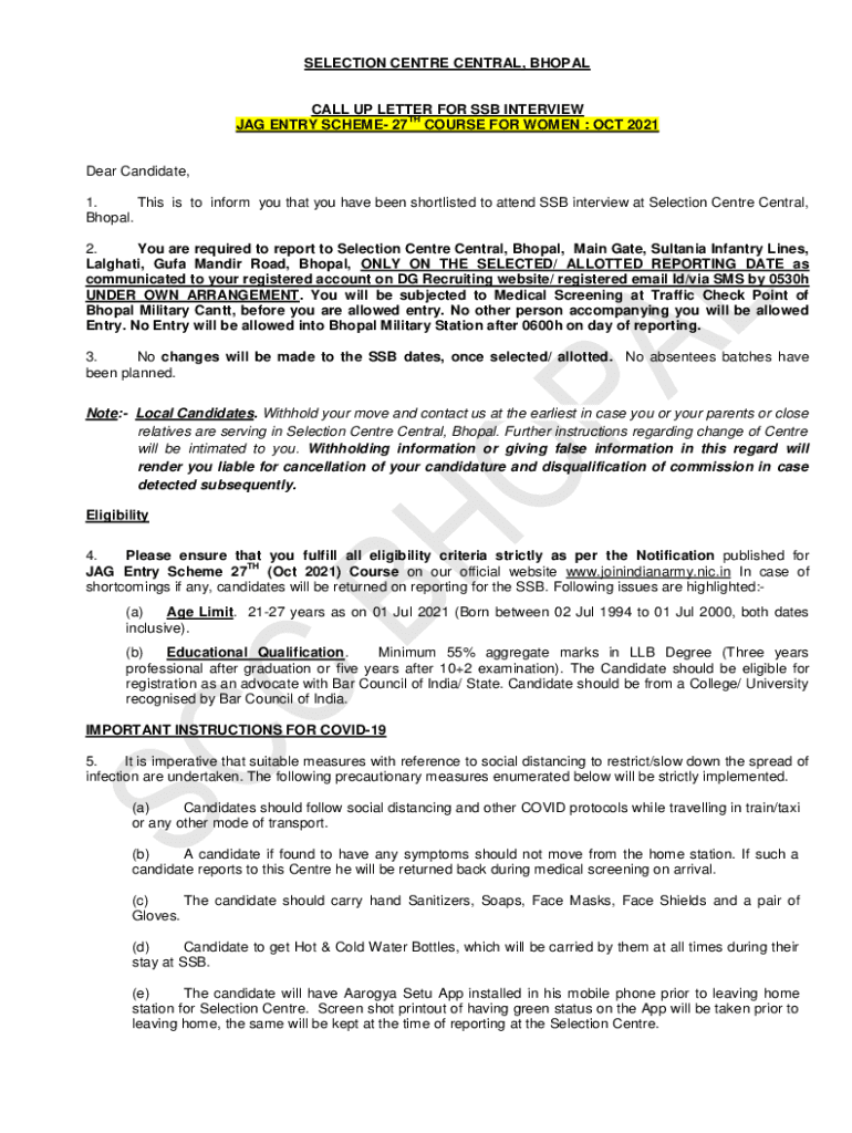
SELECTION Center CENTRAL, BHOPALCALL UP LETTER FOR SSB INTERVIEW
TH
JAG ENTRY SCHEME 27 COURSE FOR WOMEN : OCT 2021Dear Candidate,
1.
This is to inform you that you have been shortlisted to attend
We are not affiliated with any brand or entity on this form
Get, Create, Make and Sign short service commission jag
Edit your short service commission jag form online
Type text, complete fillable fields, insert images, highlight or blackout data for discretion, add comments, and more.
Add your legally-binding signature
Draw or type your signature, upload a signature image, or capture it with your digital camera.
Share your form instantly
Email, fax, or share your short service commission jag form via URL. You can also download, print, or export forms to your preferred cloud storage service.
Editing short service commission jag online
In order to make advantage of the professional PDF editor, follow these steps:
1
Create an account. Begin by choosing Start Free Trial and, if you are a new user, establish a profile.
2
Upload a file. Select Add New on your Dashboard and upload a file from your device or import it from the cloud, online, or internal mail. Then click Edit.
3
Edit short service commission jag. Replace text, adding objects, rearranging pages, and more. Then select the Documents tab to combine, divide, lock or unlock the file.
4
Save your file. Select it from your records list. Then, click the right toolbar and select one of the various exporting options: save in numerous formats, download as PDF, email, or cloud.
With pdfFiller, it's always easy to deal with documents. Try it right now
Uncompromising security for your PDF editing and eSignature needs
Your private information is safe with pdfFiller. We employ end-to-end encryption, secure cloud storage, and advanced access control to protect your documents and maintain regulatory compliance.
How to fill out short service commission jag
How to fill out short service commission jag
01
Visit the official website of the Indian Army.
02
Look for the option for Short Service Commission JAG.
03
Fill out the required personal and educational details in the online application form.
04
Upload the necessary documents such as educational certificates, photo, and signature.
05
Pay the application fee, if applicable.
06
Submit the application form before the deadline.
07
Keep a copy of the submitted application form for future reference.
Who needs short service commission jag?
01
Individuals who aspire to serve in the Indian Army as legal officers.
02
Law graduates who want to pursue a career in the field of military law.
03
Those who are interested in a short-term commission in the Judge Advocate General branch of the Indian Army.
Fill
form
: Try Risk Free
For pdfFiller’s FAQs
Below is a list of the most common customer questions. If you can’t find an answer to your question, please don’t hesitate to reach out to us.
How do I execute short service commission jag online?
pdfFiller has made it simple to fill out and eSign short service commission jag. The application has capabilities that allow you to modify and rearrange PDF content, add fillable fields, and eSign the document. Begin a free trial to discover all of the features of pdfFiller, the best document editing solution.
How do I make changes in short service commission jag?
With pdfFiller, it's easy to make changes. Open your short service commission jag in the editor, which is very easy to use and understand. When you go there, you'll be able to black out and change text, write and erase, add images, draw lines, arrows, and more. You can also add sticky notes and text boxes.
How do I edit short service commission jag straight from my smartphone?
Using pdfFiller's mobile-native applications for iOS and Android is the simplest method to edit documents on a mobile device. You may get them from the Apple App Store and Google Play, respectively. More information on the apps may be found here. Install the program and log in to begin editing short service commission jag.
What is short service commission jag?
Short Service Commission JAG is a program that allows law school graduates to serve as commissioned officers in the Judge Advocate General's Corps of the U.S. Army for a limited period of time.
Who is required to file short service commission jag?
Law school graduates who are interested in serving as commissioned officers in the JAG Corps of the U.S. Army for a limited period of time are required to file for Short Service Commission JAG.
How to fill out short service commission jag?
To fill out Short Service Commission JAG, interested law school graduates must complete the required application form, provide all necessary supporting documents, and submit their application to the appropriate military recruitment office.
What is the purpose of short service commission jag?
The purpose of Short Service Commission JAG is to provide law school graduates with the opportunity to gain valuable experience and serve their country as commissioned officers in the JAG Corps for a limited period of time.
What information must be reported on short service commission jag?
Short Service Commission JAG applications must include personal information, academic background, legal experience, references, and any other relevant information that demonstrates the applicant's qualifications and readiness to serve as a JAG officer.
Fill out your short service commission jag online with pdfFiller!
pdfFiller is an end-to-end solution for managing, creating, and editing documents and forms in the cloud. Save time and hassle by preparing your tax forms online.
Short Service Commission Jag is not the form you're looking for?Search for another form here.
Relevant keywords
Related Forms
If you believe that this page should be taken down, please follow our DMCA take down process
here
.
This form may include fields for payment information. Data entered in these fields is not covered by PCI DSS compliance.