
Get the free FPU-4.0043P Tuition Payment Plan Policy
Show details
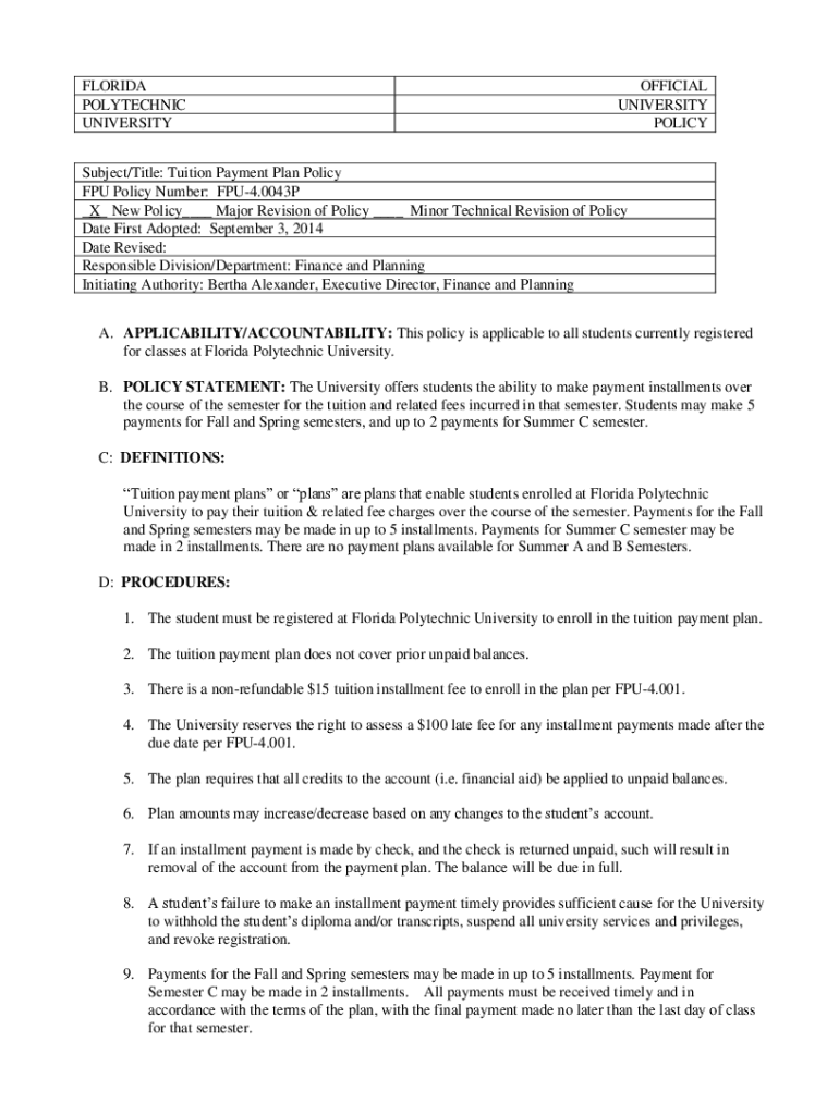
FLORIDA POLYTECHNIC UNIVERSITYOFFICIAL UNIVERSITY POLICYSubject/Title: Tuition Payment Plan Policy FPU Policy Number: FPU4.0043P _X_ New Policy___ Major Revision of Policy ___ Minor Technical Revision
We are not affiliated with any brand or entity on this form
Get, Create, Make and Sign fpu-40043p tuition payment plan

Edit your fpu-40043p tuition payment plan form online
Type text, complete fillable fields, insert images, highlight or blackout data for discretion, add comments, and more.

Add your legally-binding signature
Draw or type your signature, upload a signature image, or capture it with your digital camera.

Share your form instantly
Email, fax, or share your fpu-40043p tuition payment plan form via URL. You can also download, print, or export forms to your preferred cloud storage service.
Editing fpu-40043p tuition payment plan online
Here are the steps you need to follow to get started with our professional PDF editor:
1
Check your account. It's time to start your free trial.
2
Prepare a file. Use the Add New button. Then upload your file to the system from your device, importing it from internal mail, the cloud, or by adding its URL.
3
Edit fpu-40043p tuition payment plan. Rearrange and rotate pages, insert new and alter existing texts, add new objects, and take advantage of other helpful tools. Click Done to apply changes and return to your Dashboard. Go to the Documents tab to access merging, splitting, locking, or unlocking functions.
4
Save your file. Select it in the list of your records. Then, move the cursor to the right toolbar and choose one of the available exporting methods: save it in multiple formats, download it as a PDF, send it by email, or store it in the cloud.
With pdfFiller, it's always easy to deal with documents. Try it right now
Uncompromising security for your PDF editing and eSignature needs
Your private information is safe with pdfFiller. We employ end-to-end encryption, secure cloud storage, and advanced access control to protect your documents and maintain regulatory compliance.
How to fill out fpu-40043p tuition payment plan

How to fill out fpu-40043p tuition payment plan
01
Obtain a copy of the fpu-40043p tuition payment plan form from the relevant institution.
02
Fill in your personal details such as name, address, and contact information.
03
Specify the details of the tuition payment plan including the amount to be paid, payment schedule, and any applicable fees.
04
Sign and date the form to acknowledge your agreement to the terms of the payment plan.
05
Submit the completed form to the appropriate department or office for processing.
Who needs fpu-40043p tuition payment plan?
01
Students who are unable to pay their tuition fees in full upfront may need to fill out the fpu-40043p tuition payment plan.
02
Parents or guardians who are responsible for paying their child's tuition fees may also need to fill out this form.
Fill
form
: Try Risk Free
For pdfFiller’s FAQs
Below is a list of the most common customer questions. If you can’t find an answer to your question, please don’t hesitate to reach out to us.
How can I modify fpu-40043p tuition payment plan without leaving Google Drive?
You can quickly improve your document management and form preparation by integrating pdfFiller with Google Docs so that you can create, edit and sign documents directly from your Google Drive. The add-on enables you to transform your fpu-40043p tuition payment plan into a dynamic fillable form that you can manage and eSign from any internet-connected device.
How do I make edits in fpu-40043p tuition payment plan without leaving Chrome?
Get and add pdfFiller Google Chrome Extension to your browser to edit, fill out and eSign your fpu-40043p tuition payment plan, which you can open in the editor directly from a Google search page in just one click. Execute your fillable documents from any internet-connected device without leaving Chrome.
Can I sign the fpu-40043p tuition payment plan electronically in Chrome?
You certainly can. You get not just a feature-rich PDF editor and fillable form builder with pdfFiller, but also a robust e-signature solution that you can add right to your Chrome browser. You may use our addon to produce a legally enforceable eSignature by typing, sketching, or photographing your signature with your webcam. Choose your preferred method and eSign your fpu-40043p tuition payment plan in minutes.
What is fpu-40043p tuition payment plan?
The fpu-40043p tuition payment plan is a financial plan for payment of tuition fees at FPU.
Who is required to file fpu-40043p tuition payment plan?
All students enrolled at FPU are required to file the fpu-40043p tuition payment plan.
How to fill out fpu-40043p tuition payment plan?
To fill out the fpu-40043p tuition payment plan, students need to provide their personal and financial information, as well as details on payment methods.
What is the purpose of fpu-40043p tuition payment plan?
The purpose of the fpu-40043p tuition payment plan is to help students manage and pay their tuition fees in a structured manner.
What information must be reported on fpu-40043p tuition payment plan?
Information such as student's name, student ID, course details, payment plan preference, and payment schedule must be reported on the fpu-40043p tuition payment plan.
Fill out your fpu-40043p tuition payment plan online with pdfFiller!
pdfFiller is an end-to-end solution for managing, creating, and editing documents and forms in the cloud. Save time and hassle by preparing your tax forms online.

Fpu-40043p Tuition Payment Plan is not the form you're looking for?Search for another form here.
Relevant keywords
Related Forms
If you believe that this page should be taken down, please follow our DMCA take down process
here
.
This form may include fields for payment information. Data entered in these fields is not covered by PCI DSS compliance.