Get the free Nvest Financial, LLC January 3, 2022 Form CRS - SEC.gov
Show details
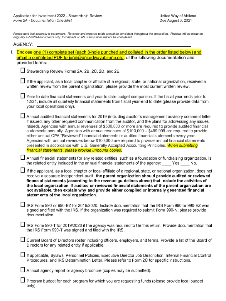
Application for Investment 2022 Stewardship Review Form 2A Documentation ChecklistUnited Way of Abilene Due August 3, 2021Please note that accuracy is paramount. Revenue and expense totals should
We are not affiliated with any brand or entity on this form
Get, Create, Make and Sign nvest financial llc january
Edit your nvest financial llc january form online
Type text, complete fillable fields, insert images, highlight or blackout data for discretion, add comments, and more.
Add your legally-binding signature
Draw or type your signature, upload a signature image, or capture it with your digital camera.
Share your form instantly
Email, fax, or share your nvest financial llc january form via URL. You can also download, print, or export forms to your preferred cloud storage service.
Editing nvest financial llc january online
Follow the guidelines below to benefit from a competent PDF editor:
1
Log into your account. If you don't have a profile yet, click Start Free Trial and sign up for one.
2
Prepare a file. Use the Add New button. Then upload your file to the system from your device, importing it from internal mail, the cloud, or by adding its URL.
3
Edit nvest financial llc january. Add and replace text, insert new objects, rearrange pages, add watermarks and page numbers, and more. Click Done when you are finished editing and go to the Documents tab to merge, split, lock or unlock the file.
4
Get your file. Select the name of your file in the docs list and choose your preferred exporting method. You can download it as a PDF, save it in another format, send it by email, or transfer it to the cloud.
pdfFiller makes working with documents easier than you could ever imagine. Register for an account and see for yourself!
Uncompromising security for your PDF editing and eSignature needs
Your private information is safe with pdfFiller. We employ end-to-end encryption, secure cloud storage, and advanced access control to protect your documents and maintain regulatory compliance.
How to fill out nvest financial llc january
How to fill out nvest financial llc january
01
Gather all necessary financial information and documents such as income statements, tax returns, and investment details.
02
Access the Nvest Financial LLC website or contact a representative for the January form.
03
Fill out the form accurately and completely, including your personal and financial information.
04
Submit the form by the designated deadline to ensure your information is filed correctly.
Who needs nvest financial llc january?
01
Individuals and businesses who are clients or customers of Nvest Financial LLC may need to fill out the January forms for financial reporting and investment purposes.
Fill
form
: Try Risk Free
For pdfFiller’s FAQs
Below is a list of the most common customer questions. If you can’t find an answer to your question, please don’t hesitate to reach out to us.
How can I get nvest financial llc january?
The premium subscription for pdfFiller provides you with access to an extensive library of fillable forms (over 25M fillable templates) that you can download, fill out, print, and sign. You won’t have any trouble finding state-specific nvest financial llc january and other forms in the library. Find the template you need and customize it using advanced editing functionalities.
Can I create an eSignature for the nvest financial llc january in Gmail?
With pdfFiller's add-on, you may upload, type, or draw a signature in Gmail. You can eSign your nvest financial llc january and other papers directly in your mailbox with pdfFiller. To preserve signed papers and your personal signatures, create an account.
How do I edit nvest financial llc january on an iOS device?
You can. Using the pdfFiller iOS app, you can edit, distribute, and sign nvest financial llc january. Install it in seconds at the Apple Store. The app is free, but you must register to buy a subscription or start a free trial.
What is nvest financial llc january?
Nvest Financial LLC January is a financial report that must be filed by the company in January to provide information about its financial status.
Who is required to file nvest financial llc january?
Nvest Financial LLC January must be filed by all companies registered as Nvest Financial LLC.
How to fill out nvest financial llc january?
To fill out Nvest Financial LLC January, companies need to provide detailed financial information including income, expenses, assets, and liabilities for the reporting period.
What is the purpose of nvest financial llc january?
The purpose of Nvest Financial LLC January is to provide transparency and accountability regarding the financial activities of the company.
What information must be reported on nvest financial llc january?
Information such as income, expenses, assets, liabilities, and any other financial transactions must be reported on Nvest Financial LLC January.
Fill out your nvest financial llc january online with pdfFiller!
pdfFiller is an end-to-end solution for managing, creating, and editing documents and forms in the cloud. Save time and hassle by preparing your tax forms online.
Nvest Financial Llc January is not the form you're looking for?Search for another form here.
Relevant keywords
Related Forms
If you believe that this page should be taken down, please follow our DMCA take down process
here
.
This form may include fields for payment information. Data entered in these fields is not covered by PCI DSS compliance.