
Get the free 1 PRICE PROPOSAL FORM 1.1 CONTRACT LINE ITEMS
Show details
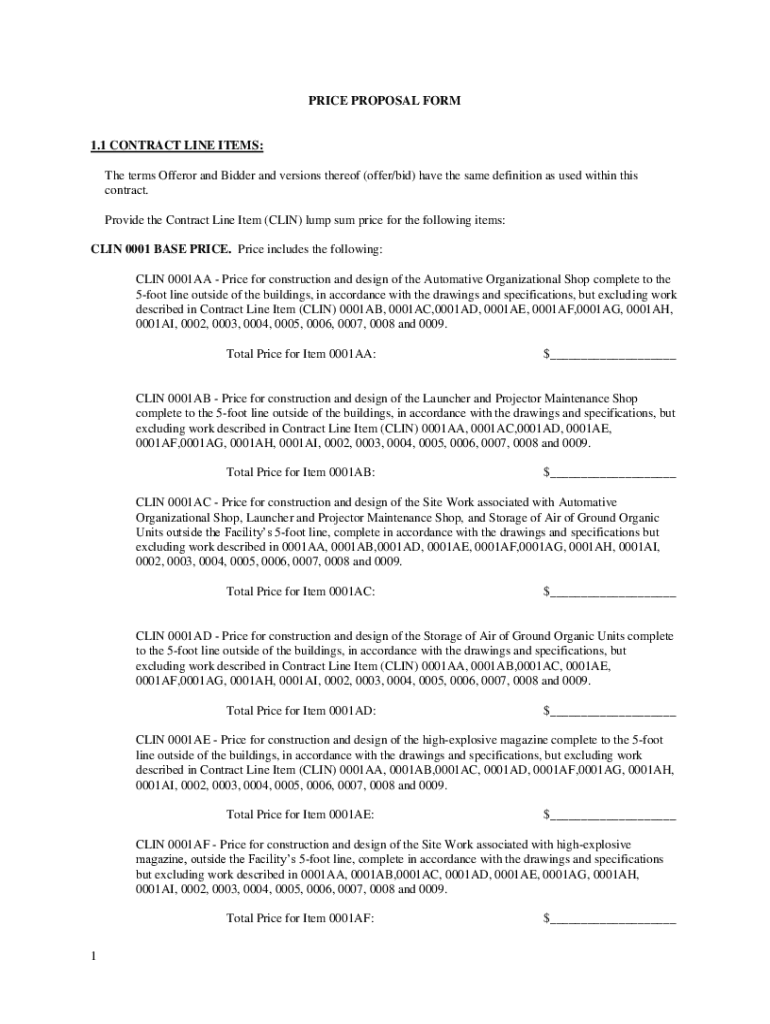
PRICE PROPOSAL FORM1.1 CONTRACT LINE ITEMS: The terms Offer or and Bidder and versions thereof (offer/bid) have the same definition as used within this contract. Provide the Contract Line Item (CLAN)
We are not affiliated with any brand or entity on this form
Get, Create, Make and Sign 1 price proposal form

Edit your 1 price proposal form form online
Type text, complete fillable fields, insert images, highlight or blackout data for discretion, add comments, and more.

Add your legally-binding signature
Draw or type your signature, upload a signature image, or capture it with your digital camera.

Share your form instantly
Email, fax, or share your 1 price proposal form form via URL. You can also download, print, or export forms to your preferred cloud storage service.
Editing 1 price proposal form online
To use the services of a skilled PDF editor, follow these steps:
1
Create an account. Begin by choosing Start Free Trial and, if you are a new user, establish a profile.
2
Simply add a document. Select Add New from your Dashboard and import a file into the system by uploading it from your device or importing it via the cloud, online, or internal mail. Then click Begin editing.
3
Edit 1 price proposal form. Rearrange and rotate pages, add new and changed texts, add new objects, and use other useful tools. When you're done, click Done. You can use the Documents tab to merge, split, lock, or unlock your files.
4
Save your file. Choose it from the list of records. Then, shift the pointer to the right toolbar and select one of the several exporting methods: save it in multiple formats, download it as a PDF, email it, or save it to the cloud.
The use of pdfFiller makes dealing with documents straightforward.
Uncompromising security for your PDF editing and eSignature needs
Your private information is safe with pdfFiller. We employ end-to-end encryption, secure cloud storage, and advanced access control to protect your documents and maintain regulatory compliance.
How to fill out 1 price proposal form

How to fill out 1 price proposal form
01
Start by entering your personal or business information at the top of the form.
02
Fill in the details of the product or service you are proposing a price for.
03
Include any relevant pricing details such as quantity, unit price, and total cost.
04
List any additional charges or fees that may apply.
05
Provide a breakdown of the payment terms and conditions.
06
Double-check all information for accuracy before submitting the proposal.
Who needs 1 price proposal form?
01
Individuals or businesses looking to submit a formal price proposal for goods or services.
Fill
form
: Try Risk Free
For pdfFiller’s FAQs
Below is a list of the most common customer questions. If you can’t find an answer to your question, please don’t hesitate to reach out to us.
How do I edit 1 price proposal form online?
pdfFiller not only allows you to edit the content of your files but fully rearrange them by changing the number and sequence of pages. Upload your 1 price proposal form to the editor and make any required adjustments in a couple of clicks. The editor enables you to blackout, type, and erase text in PDFs, add images, sticky notes and text boxes, and much more.
How do I edit 1 price proposal form in Chrome?
Get and add pdfFiller Google Chrome Extension to your browser to edit, fill out and eSign your 1 price proposal form, which you can open in the editor directly from a Google search page in just one click. Execute your fillable documents from any internet-connected device without leaving Chrome.
How do I edit 1 price proposal form straight from my smartphone?
The best way to make changes to documents on a mobile device is to use pdfFiller's apps for iOS and Android. You may get them from the Apple Store and Google Play. Learn more about the apps here. To start editing 1 price proposal form, you need to install and log in to the app.
What is 1 price proposal form?
1 price proposal form is a document used to submit a bid or offer for a product or service at a specified price.
Who is required to file 1 price proposal form?
Any vendor or supplier who wishes to submit a proposal for a product or service.
How to fill out 1 price proposal form?
The form typically includes fields for the vendor's contact information, a description of the product or service being offered, and the proposed price.
What is the purpose of 1 price proposal form?
The purpose of the form is to provide a structured way for vendors to submit their pricing information for a specific product or service.
What information must be reported on 1 price proposal form?
Vendors typically need to include the product or service details, proposed price, any terms and conditions, and contact information.
Fill out your 1 price proposal form online with pdfFiller!
pdfFiller is an end-to-end solution for managing, creating, and editing documents and forms in the cloud. Save time and hassle by preparing your tax forms online.

1 Price Proposal Form is not the form you're looking for?Search for another form here.
Relevant keywords
Related Forms
If you believe that this page should be taken down, please follow our DMCA take down process
here
.
This form may include fields for payment information. Data entered in these fields is not covered by PCI DSS compliance.