
Get the free Adopted: 12/01 & 6/14 Park Rapids Area Schools Policy: 402 ...
Show details
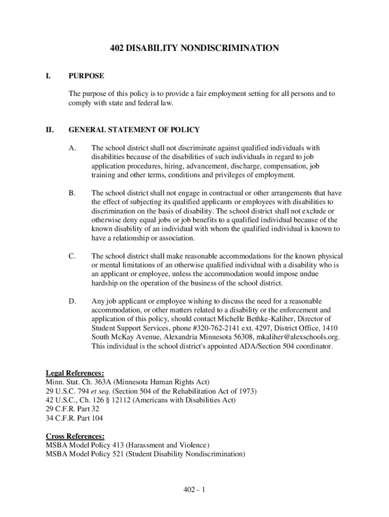
402 DISABILITY NONDISCRIMINATION I.PURPOSE The purpose of this policy is to provide a fair employment setting for all persons and to comply with state and federal law.II.GENERAL STATEMENT OF POLICY
We are not affiliated with any brand or entity on this form
Get, Create, Make and Sign adopted 1201 ampamp 614

Edit your adopted 1201 ampamp 614 form online
Type text, complete fillable fields, insert images, highlight or blackout data for discretion, add comments, and more.

Add your legally-binding signature
Draw or type your signature, upload a signature image, or capture it with your digital camera.

Share your form instantly
Email, fax, or share your adopted 1201 ampamp 614 form via URL. You can also download, print, or export forms to your preferred cloud storage service.
How to edit adopted 1201 ampamp 614 online
Follow the guidelines below to benefit from the PDF editor's expertise:
1
Log in to account. Start Free Trial and sign up a profile if you don't have one.
2
Simply add a document. Select Add New from your Dashboard and import a file into the system by uploading it from your device or importing it via the cloud, online, or internal mail. Then click Begin editing.
3
Edit adopted 1201 ampamp 614. Text may be added and replaced, new objects can be included, pages can be rearranged, watermarks and page numbers can be added, and so on. When you're done editing, click Done and then go to the Documents tab to combine, divide, lock, or unlock the file.
4
Get your file. When you find your file in the docs list, click on its name and choose how you want to save it. To get the PDF, you can save it, send an email with it, or move it to the cloud.
With pdfFiller, it's always easy to work with documents. Try it out!
Uncompromising security for your PDF editing and eSignature needs
Your private information is safe with pdfFiller. We employ end-to-end encryption, secure cloud storage, and advanced access control to protect your documents and maintain regulatory compliance.
How to fill out adopted 1201 ampamp 614

How to fill out adopted 1201 ampamp 614
01
Make sure you have all the necessary information and documentation ready before starting to fill out the form.
02
Fill out each section of the form accurately and completely.
03
Double-check your answers and make sure there are no errors or missing information.
04
Submit the completed form according to the instructions provided.
Who needs adopted 1201 ampamp 614?
01
Anyone who is required to fill out the adopted 1201 and 614 forms for a specific purpose or application.
Fill
form
: Try Risk Free
For pdfFiller’s FAQs
Below is a list of the most common customer questions. If you can’t find an answer to your question, please don’t hesitate to reach out to us.
How do I make changes in adopted 1201 ampamp 614?
The editing procedure is simple with pdfFiller. Open your adopted 1201 ampamp 614 in the editor, which is quite user-friendly. You may use it to blackout, redact, write, and erase text, add photos, draw arrows and lines, set sticky notes and text boxes, and much more.
How do I make edits in adopted 1201 ampamp 614 without leaving Chrome?
Adding the pdfFiller Google Chrome Extension to your web browser will allow you to start editing adopted 1201 ampamp 614 and other documents right away when you search for them on a Google page. People who use Chrome can use the service to make changes to their files while they are on the Chrome browser. pdfFiller lets you make fillable documents and make changes to existing PDFs from any internet-connected device.
How do I fill out the adopted 1201 ampamp 614 form on my smartphone?
Use the pdfFiller mobile app to fill out and sign adopted 1201 ampamp 614 on your phone or tablet. Visit our website to learn more about our mobile apps, how they work, and how to get started.
What is adopted 1201 ampamp 614?
Adopted 1201 ampamp 614 is a form used to report certain information to the authorities.
Who is required to file adopted 1201 ampamp 614?
All businesses and individuals meeting specific criteria are required to file adopted 1201 ampamp 614.
How to fill out adopted 1201 ampamp 614?
To fill out adopted 1201 ampamp 614, you must provide accurate information as requested on the form.
What is the purpose of adopted 1201 ampamp 614?
The purpose of adopted 1201 ampamp 614 is to ensure compliance with regulations and to provide transparency in reporting.
What information must be reported on adopted 1201 ampamp 614?
Information such as income, expenses, and other financial details must be reported on adopted 1201 ampamp 614.
Fill out your adopted 1201 ampamp 614 online with pdfFiller!
pdfFiller is an end-to-end solution for managing, creating, and editing documents and forms in the cloud. Save time and hassle by preparing your tax forms online.

Adopted 1201 Ampamp 614 is not the form you're looking for?Search for another form here.
Relevant keywords
Related Forms
If you believe that this page should be taken down, please follow our DMCA take down process
here
.
This form may include fields for payment information. Data entered in these fields is not covered by PCI DSS compliance.