Get the free The National Archives at Fort Worth, Texas
Show details
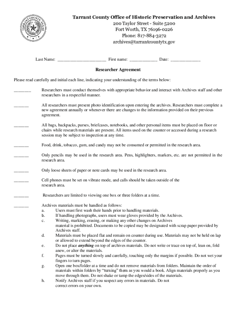
Tarrant County Office of Historic Preservation and Archives 200 Taylor Street Suite 5200 Fort Worth, TX 761960226 Phone: 8178843272 archives@tarrantcountytx.govLast Name: ___ First name: ___ Date:
We are not affiliated with any brand or entity on this form
Get, Create, Make and Sign form national archives at
Edit your form national archives at form online
Type text, complete fillable fields, insert images, highlight or blackout data for discretion, add comments, and more.
Add your legally-binding signature
Draw or type your signature, upload a signature image, or capture it with your digital camera.
Share your form instantly
Email, fax, or share your form national archives at form via URL. You can also download, print, or export forms to your preferred cloud storage service.
Editing form national archives at online
Use the instructions below to start using our professional PDF editor:
1
Check your account. If you don't have a profile yet, click Start Free Trial and sign up for one.
2
Upload a document. Select Add New on your Dashboard and transfer a file into the system in one of the following ways: by uploading it from your device or importing from the cloud, web, or internal mail. Then, click Start editing.
3
Edit form national archives at. Text may be added and replaced, new objects can be included, pages can be rearranged, watermarks and page numbers can be added, and so on. When you're done editing, click Done and then go to the Documents tab to combine, divide, lock, or unlock the file.
4
Save your file. Select it from your records list. Then, click the right toolbar and select one of the various exporting options: save in numerous formats, download as PDF, email, or cloud.
Dealing with documents is always simple with pdfFiller.
Uncompromising security for your PDF editing and eSignature needs
Your private information is safe with pdfFiller. We employ end-to-end encryption, secure cloud storage, and advanced access control to protect your documents and maintain regulatory compliance.
How to fill out form national archives at
How to fill out form national archives at
01
Go to the National Archives website
02
Locate the form you need to fill out
03
Click on the form to open it
04
Fill in the required fields with accurate information
05
Double check all information before submitting the form
Who needs form national archives at?
01
Researchers looking for historical documents
02
Students conducting research projects
03
Individuals applying for citizenship or government benefits
Fill
form
: Try Risk Free
For pdfFiller’s FAQs
Below is a list of the most common customer questions. If you can’t find an answer to your question, please don’t hesitate to reach out to us.
How can I send form national archives at to be eSigned by others?
Once your form national archives at is complete, you can securely share it with recipients and gather eSignatures with pdfFiller in just a few clicks. You may transmit a PDF by email, text message, fax, USPS mail, or online notarization directly from your account. Make an account right now and give it a go.
How do I complete form national archives at online?
With pdfFiller, you may easily complete and sign form national archives at online. It lets you modify original PDF material, highlight, blackout, erase, and write text anywhere on a page, legally eSign your document, and do a lot more. Create a free account to handle professional papers online.
How do I edit form national archives at in Chrome?
Adding the pdfFiller Google Chrome Extension to your web browser will allow you to start editing form national archives at and other documents right away when you search for them on a Google page. People who use Chrome can use the service to make changes to their files while they are on the Chrome browser. pdfFiller lets you make fillable documents and make changes to existing PDFs from any internet-connected device.
What is form national archives at?
The National Archives and Records Administration (NARA) form AT is used to report information regarding the transfer of federal records to the National Archives.
Who is required to file form national archives at?
Federal agencies and institutions that are transferring records to the National Archives are required to file Form AT.
How to fill out form national archives at?
To fill out Form AT, agencies must provide details such as the description of the records, the dates of the records, and the appropriate transfer instructions.
What is the purpose of form national archives at?
The purpose of Form AT is to facilitate the proper transfer of federal records to the National Archives and ensure compliance with federal records management laws.
What information must be reported on form national archives at?
Information that must be reported includes the title and description of the records, the date range of the records, agency information, and the proposed transfer method.
Fill out your form national archives at online with pdfFiller!
pdfFiller is an end-to-end solution for managing, creating, and editing documents and forms in the cloud. Save time and hassle by preparing your tax forms online.
Form National Archives At is not the form you're looking for?Search for another form here.
Relevant keywords
Related Forms
If you believe that this page should be taken down, please follow our DMCA take down process
here
.
This form may include fields for payment information. Data entered in these fields is not covered by PCI DSS compliance.