Get the free Section III B: Examination Procedures (SEN Centres) Liberal ...
Show details
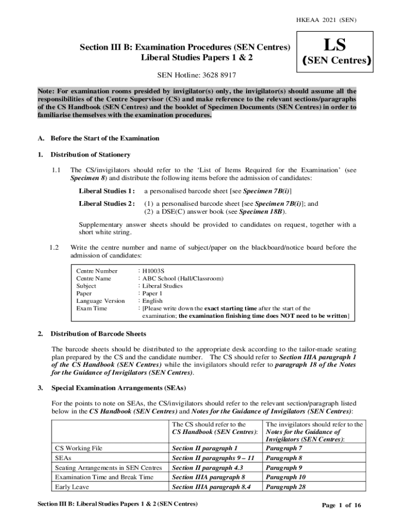
HK EAA 2021 (SEN)Section III B: Examination Procedures (SEN Centers) Liberal Studies Papers 1 & 2 SEN Centers SEN Hotline: 3628 8917 Note: For examination rooms presided by invigilator(s) only, the
We are not affiliated with any brand or entity on this form
Get, Create, Make and Sign section iii b examination
Edit your section iii b examination form online
Type text, complete fillable fields, insert images, highlight or blackout data for discretion, add comments, and more.
Add your legally-binding signature
Draw or type your signature, upload a signature image, or capture it with your digital camera.
Share your form instantly
Email, fax, or share your section iii b examination form via URL. You can also download, print, or export forms to your preferred cloud storage service.
Editing section iii b examination online
In order to make advantage of the professional PDF editor, follow these steps:
1
Set up an account. If you are a new user, click Start Free Trial and establish a profile.
2
Prepare a file. Use the Add New button. Then upload your file to the system from your device, importing it from internal mail, the cloud, or by adding its URL.
3
Edit section iii b examination. Text may be added and replaced, new objects can be included, pages can be rearranged, watermarks and page numbers can be added, and so on. When you're done editing, click Done and then go to the Documents tab to combine, divide, lock, or unlock the file.
4
Get your file. Select your file from the documents list and pick your export method. You may save it as a PDF, email it, or upload it to the cloud.
It's easier to work with documents with pdfFiller than you could have ever thought. Sign up for a free account to view.
Uncompromising security for your PDF editing and eSignature needs
Your private information is safe with pdfFiller. We employ end-to-end encryption, secure cloud storage, and advanced access control to protect your documents and maintain regulatory compliance.
How to fill out section iii b examination
How to fill out section iii b examination
01
Start by carefully reading the instructions provided for section iii b examination.
02
Provide accurate and complete information in the designated fields.
03
Double-check all information before submitting to ensure accuracy.
04
Follow any additional guidelines or requirements specified by the examining authority.
Who needs section iii b examination?
01
Individuals who are required to undergo medical or physical examinations as part of an application process or for certain types of employment may need to fill out section iii b examination.
Fill
form
: Try Risk Free
For pdfFiller’s FAQs
Below is a list of the most common customer questions. If you can’t find an answer to your question, please don’t hesitate to reach out to us.
How do I complete section iii b examination online?
Easy online section iii b examination completion using pdfFiller. Also, it allows you to legally eSign your form and change original PDF material. Create a free account and manage documents online.
How do I edit section iii b examination on an iOS device?
You can. Using the pdfFiller iOS app, you can edit, distribute, and sign section iii b examination. Install it in seconds at the Apple Store. The app is free, but you must register to buy a subscription or start a free trial.
How do I complete section iii b examination on an Android device?
Use the pdfFiller app for Android to finish your section iii b examination. The application lets you do all the things you need to do with documents, like add, edit, and remove text, sign, annotate, and more. There is nothing else you need except your smartphone and an internet connection to do this.
What is section iii b examination?
Section III B examination is a process to assess the financial status and compliance of an individual or organization.
Who is required to file section iii b examination?
Individuals or organizations who are mandated by law or regulation to undergo financial examination are required to file section III B examination.
How to fill out section iii b examination?
Section III B examination can be filled out by providing accurate financial information and complying with the reporting requirements set forth by the governing body.
What is the purpose of section iii b examination?
The purpose of section III B examination is to ensure financial transparency, compliance with regulations, and to assess the financial health of the entity.
What information must be reported on section iii b examination?
Information such as financial statements, tax returns, audit reports, and other relevant financial documentation must be reported on section III B examination.
Fill out your section iii b examination online with pdfFiller!
pdfFiller is an end-to-end solution for managing, creating, and editing documents and forms in the cloud. Save time and hassle by preparing your tax forms online.
Section Iii B Examination is not the form you're looking for?Search for another form here.
Relevant keywords
Related Forms
If you believe that this page should be taken down, please follow our DMCA take down process
here
.
This form may include fields for payment information. Data entered in these fields is not covered by PCI DSS compliance.