
Get the free SEN Hotline: 3628 8917
Show details
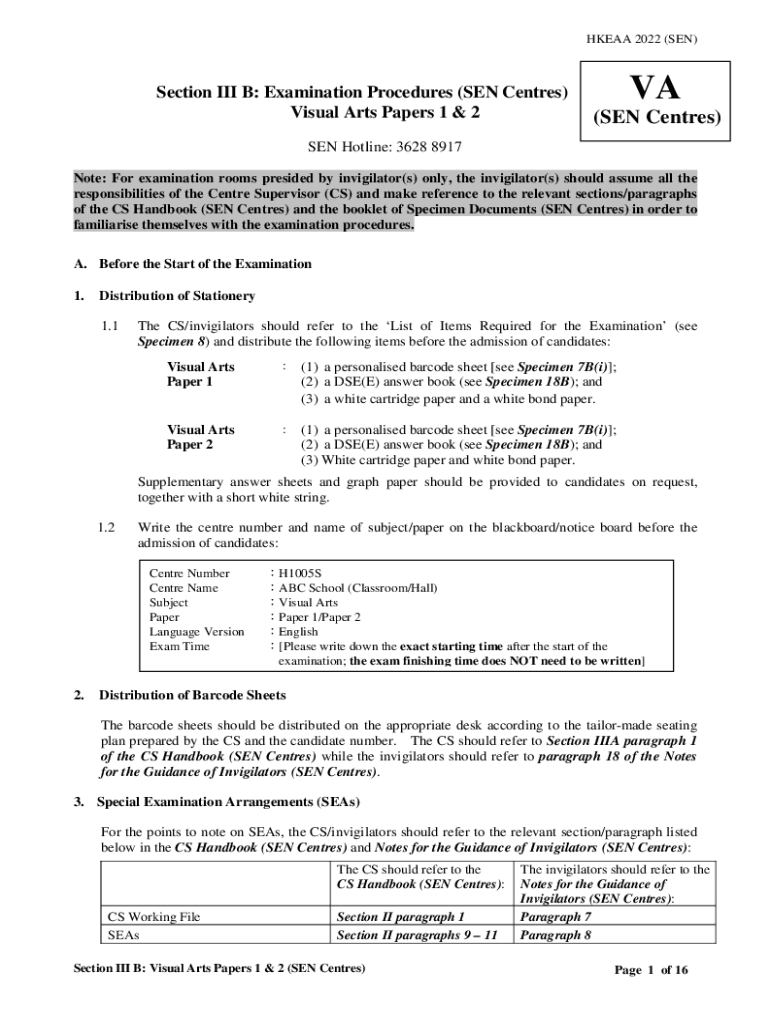
HK EAA 2022 (SEN)Section III B: Examination Procedures (SEN Centers) Visual Arts Papers 1 & 2VA (SEN Centers)SEN Hotline: 3628 8917 Note: For examination rooms presided by invigilator(s) only, the
We are not affiliated with any brand or entity on this form
Get, Create, Make and Sign sen hotline 3628 8917

Edit your sen hotline 3628 8917 form online
Type text, complete fillable fields, insert images, highlight or blackout data for discretion, add comments, and more.

Add your legally-binding signature
Draw or type your signature, upload a signature image, or capture it with your digital camera.

Share your form instantly
Email, fax, or share your sen hotline 3628 8917 form via URL. You can also download, print, or export forms to your preferred cloud storage service.
How to edit sen hotline 3628 8917 online
To use our professional PDF editor, follow these steps:
1
Create an account. Begin by choosing Start Free Trial and, if you are a new user, establish a profile.
2
Simply add a document. Select Add New from your Dashboard and import a file into the system by uploading it from your device or importing it via the cloud, online, or internal mail. Then click Begin editing.
3
Edit sen hotline 3628 8917. Replace text, adding objects, rearranging pages, and more. Then select the Documents tab to combine, divide, lock or unlock the file.
4
Get your file. Select your file from the documents list and pick your export method. You may save it as a PDF, email it, or upload it to the cloud.
Dealing with documents is always simple with pdfFiller.
Uncompromising security for your PDF editing and eSignature needs
Your private information is safe with pdfFiller. We employ end-to-end encryption, secure cloud storage, and advanced access control to protect your documents and maintain regulatory compliance.
How to fill out sen hotline 3628 8917

How to fill out sen hotline 3628 8917
01
Dial 3628 8917 on your phone.
02
Listen to the prompts and follow the instructions.
03
Provide the necessary information requested by the hotline operator.
04
Wait for assistance or guidance on your specific issue.
Who needs sen hotline 3628 8917?
01
Individuals seeking assistance or guidance on a particular issue or concern.
02
People looking for information or resources related to SEN (Special Educational Needs).
03
Parents or guardians of children with SEN who require support or advice.
Fill
form
: Try Risk Free
For pdfFiller’s FAQs
Below is a list of the most common customer questions. If you can’t find an answer to your question, please don’t hesitate to reach out to us.
How do I edit sen hotline 3628 8917 in Chrome?
Install the pdfFiller Chrome Extension to modify, fill out, and eSign your sen hotline 3628 8917, which you can access right from a Google search page. Fillable documents without leaving Chrome on any internet-connected device.
Can I create an electronic signature for the sen hotline 3628 8917 in Chrome?
Yes. You can use pdfFiller to sign documents and use all of the features of the PDF editor in one place if you add this solution to Chrome. In order to use the extension, you can draw or write an electronic signature. You can also upload a picture of your handwritten signature. There is no need to worry about how long it takes to sign your sen hotline 3628 8917.
Can I edit sen hotline 3628 8917 on an iOS device?
Use the pdfFiller mobile app to create, edit, and share sen hotline 3628 8917 from your iOS device. Install it from the Apple Store in seconds. You can benefit from a free trial and choose a subscription that suits your needs.
What is sen hotline 3628 8917?
The sen hotline 3628 8917 is a dedicated phone line for reporting suspicious activities or concerns.
Who is required to file sen hotline 3628 8917?
Any individual or entity who has information about potential wrongdoing or unethical behavior.
How to fill out sen hotline 3628 8917?
You can call the hotline number and provide the necessary details to the operator.
What is the purpose of sen hotline 3628 8917?
The purpose of sen hotline 3628 8917 is to ensure that any suspicious activities or concerns are reported and investigated properly.
What information must be reported on sen hotline 3628 8917?
You must report any details related to potential wrongdoing, unethical behavior, or suspicious activities.
Fill out your sen hotline 3628 8917 online with pdfFiller!
pdfFiller is an end-to-end solution for managing, creating, and editing documents and forms in the cloud. Save time and hassle by preparing your tax forms online.

Sen Hotline 3628 8917 is not the form you're looking for?Search for another form here.
Relevant keywords
Related Forms
If you believe that this page should be taken down, please follow our DMCA take down process
here
.
This form may include fields for payment information. Data entered in these fields is not covered by PCI DSS compliance.