Get the free physical therapist assistant - Gulf Coast State College
Show details
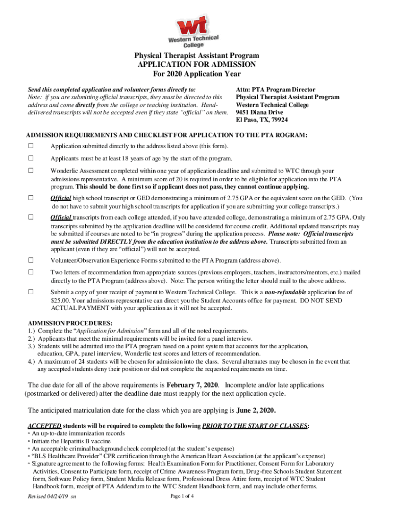
Physical Therapist Assistant Program APPLICATION FOR ADMISSION For 2020 Application Year Send this completed application and volunteer forms directly to: Note: if you are submitting official transcripts,
We are not affiliated with any brand or entity on this form
Get, Create, Make and Sign physical formrapist assistant
Edit your physical formrapist assistant form online
Type text, complete fillable fields, insert images, highlight or blackout data for discretion, add comments, and more.
Add your legally-binding signature
Draw or type your signature, upload a signature image, or capture it with your digital camera.
Share your form instantly
Email, fax, or share your physical formrapist assistant form via URL. You can also download, print, or export forms to your preferred cloud storage service.
Editing physical formrapist assistant online
To use the professional PDF editor, follow these steps below:
1
Log in to your account. Start Free Trial and sign up a profile if you don't have one.
2
Prepare a file. Use the Add New button to start a new project. Then, using your device, upload your file to the system by importing it from internal mail, the cloud, or adding its URL.
3
Edit physical formrapist assistant. Rearrange and rotate pages, add new and changed texts, add new objects, and use other useful tools. When you're done, click Done. You can use the Documents tab to merge, split, lock, or unlock your files.
4
Get your file. Select the name of your file in the docs list and choose your preferred exporting method. You can download it as a PDF, save it in another format, send it by email, or transfer it to the cloud.
Dealing with documents is simple using pdfFiller. Try it now!
Uncompromising security for your PDF editing and eSignature needs
Your private information is safe with pdfFiller. We employ end-to-end encryption, secure cloud storage, and advanced access control to protect your documents and maintain regulatory compliance.
How to fill out physical formrapist assistant
How to fill out physical formrapist assistant
01
Obtain a physical formrapist assistant form from the designated provider.
02
Fill out all the required fields on the form, including personal information and medical history.
03
Make sure to provide accurate and up-to-date information to ensure proper care and treatment.
04
Double-check the form for any errors or missing information before submitting it to the provider.
Who needs physical formrapist assistant?
01
Individuals who require physical therapy services and assistance with their rehabilitation process may need a physical formrapist assistant.
Fill
form
: Try Risk Free
For pdfFiller’s FAQs
Below is a list of the most common customer questions. If you can’t find an answer to your question, please don’t hesitate to reach out to us.
How do I edit physical formrapist assistant in Chrome?
Add pdfFiller Google Chrome Extension to your web browser to start editing physical formrapist assistant and other documents directly from a Google search page. The service allows you to make changes in your documents when viewing them in Chrome. Create fillable documents and edit existing PDFs from any internet-connected device with pdfFiller.
How can I fill out physical formrapist assistant on an iOS device?
Get and install the pdfFiller application for iOS. Next, open the app and log in or create an account to get access to all of the solution’s editing features. To open your physical formrapist assistant, upload it from your device or cloud storage, or enter the document URL. After you complete all of the required fields within the document and eSign it (if that is needed), you can save it or share it with others.
How do I complete physical formrapist assistant on an Android device?
Use the pdfFiller app for Android to finish your physical formrapist assistant. The application lets you do all the things you need to do with documents, like add, edit, and remove text, sign, annotate, and more. There is nothing else you need except your smartphone and an internet connection to do this.
What is physical formrapist assistant?
Physical therapist assistants are licensed healthcare professionals who provide physical therapy services under the direction and supervision of a physical therapist.
Who is required to file physical formrapist assistant?
Physical therapist assistants are required to file physical formrapist assistant in order to maintain their licensure and practice legally.
How to fill out physical formrapist assistant?
Physical therapist assistants can fill out the form online or download a paper copy from the licensing board's website and fill it out manually.
What is the purpose of physical formrapist assistant?
The purpose of physical formrapist assistant is to ensure that physical therapist assistants meet the continuing education requirements and standards set by the licensing board.
What information must be reported on physical formrapist assistant?
Physical therapist assistants must report their completed continuing education hours, any changes in personal information, and any disciplinary actions taken against them.
Fill out your physical formrapist assistant online with pdfFiller!
pdfFiller is an end-to-end solution for managing, creating, and editing documents and forms in the cloud. Save time and hassle by preparing your tax forms online.
Physical Formrapist Assistant is not the form you're looking for?Search for another form here.
Relevant keywords
Related Forms
If you believe that this page should be taken down, please follow our DMCA take down process
here
.
This form may include fields for payment information. Data entered in these fields is not covered by PCI DSS compliance.