
Get the free vol.45...
Show details
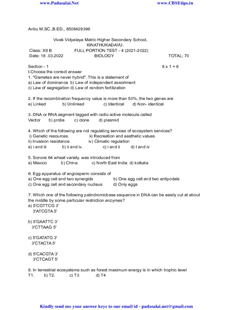
WWW. Padasalai. New. Cosmetics.inane M.SC., B.ED., 8508429396
Vivek Himalaya Matrix Higher Secondary School,
KINATHUKADAVU.
Class: XII B
FULL PORTION TEST 4 (20212022)
Date: 18 .03.2022
BIOLOGY
Section
We are not affiliated with any brand or entity on this form
Get, Create, Make and Sign vol45

Edit your vol45 form online
Type text, complete fillable fields, insert images, highlight or blackout data for discretion, add comments, and more.

Add your legally-binding signature
Draw or type your signature, upload a signature image, or capture it with your digital camera.

Share your form instantly
Email, fax, or share your vol45 form via URL. You can also download, print, or export forms to your preferred cloud storage service.
Editing vol45 online
To use our professional PDF editor, follow these steps:
1
Register the account. Begin by clicking Start Free Trial and create a profile if you are a new user.
2
Simply add a document. Select Add New from your Dashboard and import a file into the system by uploading it from your device or importing it via the cloud, online, or internal mail. Then click Begin editing.
3
Edit vol45. Add and change text, add new objects, move pages, add watermarks and page numbers, and more. Then click Done when you're done editing and go to the Documents tab to merge or split the file. If you want to lock or unlock the file, click the lock or unlock button.
4
Get your file. Select your file from the documents list and pick your export method. You may save it as a PDF, email it, or upload it to the cloud.
It's easier to work with documents with pdfFiller than you can have ever thought. You can sign up for an account to see for yourself.
Uncompromising security for your PDF editing and eSignature needs
Your private information is safe with pdfFiller. We employ end-to-end encryption, secure cloud storage, and advanced access control to protect your documents and maintain regulatory compliance.
How to fill out vol45

How to fill out vol45
01
Ensure you have the necessary information and documents for filling out vol45.
02
Start by entering your personal details in the designated sections.
03
Provide any additional information required for the specific purpose of vol45.
04
Double check all the information provided for accuracy before submitting vol45.
Who needs vol45?
01
Individuals who are required to submit vol45 for a particular purpose.
Fill
form
: Try Risk Free
For pdfFiller’s FAQs
Below is a list of the most common customer questions. If you can’t find an answer to your question, please don’t hesitate to reach out to us.
How can I manage my vol45 directly from Gmail?
You can use pdfFiller’s add-on for Gmail in order to modify, fill out, and eSign your vol45 along with other documents right in your inbox. Find pdfFiller for Gmail in Google Workspace Marketplace. Use time you spend on handling your documents and eSignatures for more important things.
Can I create an eSignature for the vol45 in Gmail?
Create your eSignature using pdfFiller and then eSign your vol45 immediately from your email with pdfFiller's Gmail add-on. To keep your signatures and signed papers, you must create an account.
How can I edit vol45 on a smartphone?
The best way to make changes to documents on a mobile device is to use pdfFiller's apps for iOS and Android. You may get them from the Apple Store and Google Play. Learn more about the apps here. To start editing vol45, you need to install and log in to the app.
What is vol45?
Vol45 is a form used for reporting information related to XYZ.
Who is required to file vol45?
Companies and individuals meeting certain criteria are required to file vol45.
How to fill out vol45?
Vol45 can be filled out electronically or manually following the instructions provided.
What is the purpose of vol45?
The purpose of vol45 is to provide important information to regulatory authorities.
What information must be reported on vol45?
Vol45 requires reporting of income, expenses, and other financial data.
Fill out your vol45 online with pdfFiller!
pdfFiller is an end-to-end solution for managing, creating, and editing documents and forms in the cloud. Save time and hassle by preparing your tax forms online.

vol45 is not the form you're looking for?Search for another form here.
Relevant keywords
Related Forms
If you believe that this page should be taken down, please follow our DMCA take down process
here
.
This form may include fields for payment information. Data entered in these fields is not covered by PCI DSS compliance.