Get the free ARTICLE I RECOGNITION A. The Pitman Board of Education ...
Show details
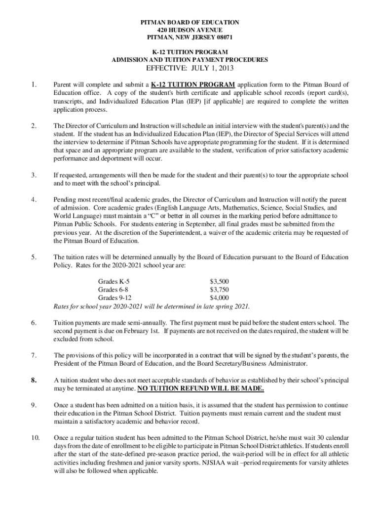
PITMAN BOARD OF EDUCATION 420 HUDSON AVENUE PITMAN, NEW JERSEY 08071 K12 TUITION PROGRAM ADMISSION AND TUITION PAYMENT PROCEDURESEFFECTIVE: JULY 1, 2013 1. Parent will complete and submit a K12 TUITION
We are not affiliated with any brand or entity on this form
Get, Create, Make and Sign article i recognition a
Edit your article i recognition a form online
Type text, complete fillable fields, insert images, highlight or blackout data for discretion, add comments, and more.
Add your legally-binding signature
Draw or type your signature, upload a signature image, or capture it with your digital camera.
Share your form instantly
Email, fax, or share your article i recognition a form via URL. You can also download, print, or export forms to your preferred cloud storage service.
How to edit article i recognition a online
Here are the steps you need to follow to get started with our professional PDF editor:
1
Register the account. Begin by clicking Start Free Trial and create a profile if you are a new user.
2
Upload a document. Select Add New on your Dashboard and transfer a file into the system in one of the following ways: by uploading it from your device or importing from the cloud, web, or internal mail. Then, click Start editing.
3
Edit article i recognition a. Replace text, adding objects, rearranging pages, and more. Then select the Documents tab to combine, divide, lock or unlock the file.
4
Get your file. Select your file from the documents list and pick your export method. You may save it as a PDF, email it, or upload it to the cloud.
Uncompromising security for your PDF editing and eSignature needs
Your private information is safe with pdfFiller. We employ end-to-end encryption, secure cloud storage, and advanced access control to protect your documents and maintain regulatory compliance.
How to fill out article i recognition a
How to fill out article i recognition a
01
Gather all necessary information about the article i recognition a form
02
Read the instructions carefully before starting to fill out the form
03
Provide accurate and up-to-date information in each section of the form
04
Check for any mistakes or missing information before submitting the form
05
Submit the completed form through the designated method (online, mail, in person)
Who needs article i recognition a?
01
Individuals who have completed a specific task or achieved a milestone that requires official recognition
02
Organizations looking to acknowledge the contributions or accomplishments of their members or employees
Fill
form
: Try Risk Free
For pdfFiller’s FAQs
Below is a list of the most common customer questions. If you can’t find an answer to your question, please don’t hesitate to reach out to us.
How do I complete article i recognition a online?
Easy online article i recognition a completion using pdfFiller. Also, it allows you to legally eSign your form and change original PDF material. Create a free account and manage documents online.
How do I fill out the article i recognition a form on my smartphone?
Use the pdfFiller mobile app to fill out and sign article i recognition a on your phone or tablet. Visit our website to learn more about our mobile apps, how they work, and how to get started.
How can I fill out article i recognition a on an iOS device?
Install the pdfFiller app on your iOS device to fill out papers. If you have a subscription to the service, create an account or log in to an existing one. After completing the registration process, upload your article i recognition a. You may now use pdfFiller's advanced features, such as adding fillable fields and eSigning documents, and accessing them from any device, wherever you are.
What is article i recognition a?
Article I recognition A is a formal acknowledgment of a specific article in a document.
Who is required to file article i recognition a?
The party or individual mentioned in the document as the recipient of the recognition is required to file article I recognition A.
How to fill out article i recognition a?
To fill out article I recognition A, the party must provide their identification information, the details of the article being recognized, and any additional supporting documents.
What is the purpose of article i recognition a?
The purpose of article I recognition A is to formally acknowledge the specific article in a document and ensure its legal validity.
What information must be reported on article i recognition a?
The information that must be reported on article I recognition A includes the article being recognized, the date of recognition, and the details of the parties involved.
Fill out your article i recognition a online with pdfFiller!
pdfFiller is an end-to-end solution for managing, creating, and editing documents and forms in the cloud. Save time and hassle by preparing your tax forms online.
Article I Recognition A is not the form you're looking for?Search for another form here.
Relevant keywords
Related Forms
If you believe that this page should be taken down, please follow our DMCA take down process
here
.
This form may include fields for payment information. Data entered in these fields is not covered by PCI DSS compliance.