Get the free Radiology Quality Assurance Program: What Should the RT ...
Show details
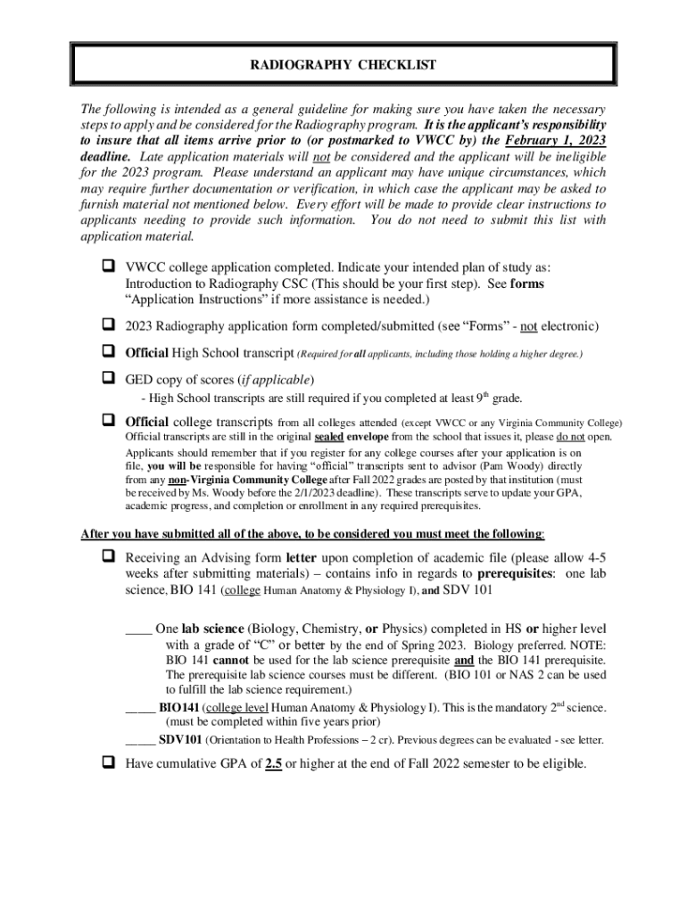
RADIOGRAPHY CHECKLIST The following is intended as a general guideline for making sure you have taken the necessary steps to apply and be considered for the Radiography program. It is the applicants'
We are not affiliated with any brand or entity on this form
Get, Create, Make and Sign radiology quality assurance program
Edit your radiology quality assurance program form online
Type text, complete fillable fields, insert images, highlight or blackout data for discretion, add comments, and more.
Add your legally-binding signature
Draw or type your signature, upload a signature image, or capture it with your digital camera.
Share your form instantly
Email, fax, or share your radiology quality assurance program form via URL. You can also download, print, or export forms to your preferred cloud storage service.
How to edit radiology quality assurance program online
In order to make advantage of the professional PDF editor, follow these steps below:
1
Create an account. Begin by choosing Start Free Trial and, if you are a new user, establish a profile.
2
Prepare a file. Use the Add New button to start a new project. Then, using your device, upload your file to the system by importing it from internal mail, the cloud, or adding its URL.
3
Edit radiology quality assurance program. Rearrange and rotate pages, insert new and alter existing texts, add new objects, and take advantage of other helpful tools. Click Done to apply changes and return to your Dashboard. Go to the Documents tab to access merging, splitting, locking, or unlocking functions.
4
Save your file. Select it from your records list. Then, click the right toolbar and select one of the various exporting options: save in numerous formats, download as PDF, email, or cloud.
Dealing with documents is always simple with pdfFiller.
Uncompromising security for your PDF editing and eSignature needs
Your private information is safe with pdfFiller. We employ end-to-end encryption, secure cloud storage, and advanced access control to protect your documents and maintain regulatory compliance.
How to fill out radiology quality assurance program
How to fill out radiology quality assurance program
01
Begin by familiarizing yourself with the requirements and guidelines of your specific radiology quality assurance program.
02
Gather all necessary documentation and forms needed for the program.
03
Establish a schedule for completing quality assurance tasks, such as regular equipment checks and image reviews.
04
Ensure that all staff involved in the program are properly trained and understand their roles and responsibilities.
05
Implement any necessary quality improvement measures based on findings from the program.
06
Keep detailed records of all quality assurance activities for audit purposes.
Who needs radiology quality assurance program?
01
Radiology departments and facilities that want to ensure the quality and accuracy of their diagnostic imaging services.
02
Radiologists, radiologic technologists, and other healthcare professionals involved in performing and interpreting radiology exams.
03
Regulatory bodies and accreditation agencies that require radiology facilities to have quality assurance programs in place.
Fill
form
: Try Risk Free
For pdfFiller’s FAQs
Below is a list of the most common customer questions. If you can’t find an answer to your question, please don’t hesitate to reach out to us.
How can I send radiology quality assurance program for eSignature?
To distribute your radiology quality assurance program, simply send it to others and receive the eSigned document back instantly. Post or email a PDF that you've notarized online. Doing so requires never leaving your account.
How do I complete radiology quality assurance program online?
pdfFiller makes it easy to finish and sign radiology quality assurance program online. It lets you make changes to original PDF content, highlight, black out, erase, and write text anywhere on a page, legally eSign your form, and more, all from one place. Create a free account and use the web to keep track of professional documents.
How do I fill out the radiology quality assurance program form on my smartphone?
On your mobile device, use the pdfFiller mobile app to complete and sign radiology quality assurance program. Visit our website (https://edit-pdf-ios-android.pdffiller.com/) to discover more about our mobile applications, the features you'll have access to, and how to get started.
What is radiology quality assurance program?
A radiology quality assurance program is a program designed to ensure the quality and accuracy of radiology services provided by a facility.
Who is required to file radiology quality assurance program?
Radiology facilities and practitioners are required to file a radiology quality assurance program.
How to fill out radiology quality assurance program?
Radiology quality assurance programs can be filled out by documenting quality control measures, data collection, performance improvement activities, and compliance with regulations.
What is the purpose of radiology quality assurance program?
The purpose of a radiology quality assurance program is to ensure the safety and accuracy of radiology services, improve patient outcomes, and meet regulatory requirements.
What information must be reported on radiology quality assurance program?
Information typically reported on a radiology quality assurance program includes quality control measures, data on imaging studies, performance improvement activities, and compliance documentation.
Fill out your radiology quality assurance program online with pdfFiller!
pdfFiller is an end-to-end solution for managing, creating, and editing documents and forms in the cloud. Save time and hassle by preparing your tax forms online.
Radiology Quality Assurance Program is not the form you're looking for?Search for another form here.
Relevant keywords
Related Forms
If you believe that this page should be taken down, please follow our DMCA take down process
here
.
This form may include fields for payment information. Data entered in these fields is not covered by PCI DSS compliance.