Get the free Tender for Annual Maintenance Contract for daily cleaning of ...
Show details
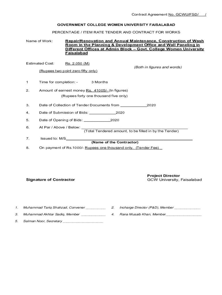
Contract Agreement No. GCU/FSD/ GOVERNMENT COLLEGE WOMEN UNIVERSITY FAISALABAD PERCENTAGE / ITEM RATE TENDER AND CONTRACT FOR WORKS Name of Work:Repair/Renovation and Annual Maintenance, Construction
We are not affiliated with any brand or entity on this form
Get, Create, Make and Sign tender for annual maintenance
Edit your tender for annual maintenance form online
Type text, complete fillable fields, insert images, highlight or blackout data for discretion, add comments, and more.
Add your legally-binding signature
Draw or type your signature, upload a signature image, or capture it with your digital camera.
Share your form instantly
Email, fax, or share your tender for annual maintenance form via URL. You can also download, print, or export forms to your preferred cloud storage service.
How to edit tender for annual maintenance online
To use our professional PDF editor, follow these steps:
1
Set up an account. If you are a new user, click Start Free Trial and establish a profile.
2
Upload a document. Select Add New on your Dashboard and transfer a file into the system in one of the following ways: by uploading it from your device or importing from the cloud, web, or internal mail. Then, click Start editing.
3
Edit tender for annual maintenance. Rearrange and rotate pages, add and edit text, and use additional tools. To save changes and return to your Dashboard, click Done. The Documents tab allows you to merge, divide, lock, or unlock files.
4
Save your file. Select it from your records list. Then, click the right toolbar and select one of the various exporting options: save in numerous formats, download as PDF, email, or cloud.
With pdfFiller, dealing with documents is always straightforward. Try it right now!
Uncompromising security for your PDF editing and eSignature needs
Your private information is safe with pdfFiller. We employ end-to-end encryption, secure cloud storage, and advanced access control to protect your documents and maintain regulatory compliance.
How to fill out tender for annual maintenance
How to fill out tender for annual maintenance
01
Review the requirements and specifications for the annual maintenance tender.
02
Gather all necessary information and documentation to support your bid.
03
Fill out the required forms and documents accurately and completely.
04
Submit your tender before the deadline.
05
Follow up with the tendering organization if necessary and provide any additional information they may request.
Who needs tender for annual maintenance?
01
Businesses or organizations that require annual maintenance services for their facilities or equipment.
02
Government agencies or municipalities looking to outsource maintenance work.
03
Facility management companies seeking new contracts for maintenance services.
Fill
form
: Try Risk Free
For pdfFiller’s FAQs
Below is a list of the most common customer questions. If you can’t find an answer to your question, please don’t hesitate to reach out to us.
How do I modify my tender for annual maintenance in Gmail?
You may use pdfFiller's Gmail add-on to change, fill out, and eSign your tender for annual maintenance as well as other documents directly in your inbox by using the pdfFiller add-on for Gmail. pdfFiller for Gmail may be found on the Google Workspace Marketplace. Use the time you would have spent dealing with your papers and eSignatures for more vital tasks instead.
How can I modify tender for annual maintenance without leaving Google Drive?
Simplify your document workflows and create fillable forms right in Google Drive by integrating pdfFiller with Google Docs. The integration will allow you to create, modify, and eSign documents, including tender for annual maintenance, without leaving Google Drive. Add pdfFiller’s functionalities to Google Drive and manage your paperwork more efficiently on any internet-connected device.
Can I create an electronic signature for signing my tender for annual maintenance in Gmail?
Create your eSignature using pdfFiller and then eSign your tender for annual maintenance immediately from your email with pdfFiller's Gmail add-on. To keep your signatures and signed papers, you must create an account.
What is tender for annual maintenance?
A tender for annual maintenance is a formal proposal submitted by a vendor or contractor to provide maintenance services for a period of one year.
Who is required to file tender for annual maintenance?
Any vendor or contractor interested in providing maintenance services for a specific organization or property is required to file a tender for annual maintenance.
How to fill out tender for annual maintenance?
To fill out a tender for annual maintenance, vendors or contractors need to provide detailed information about their company, experience, proposed services, and pricing.
What is the purpose of tender for annual maintenance?
The purpose of a tender for annual maintenance is to allow organizations to evaluate and select the most suitable vendor or contractor to provide maintenance services for a specified period.
What information must be reported on tender for annual maintenance?
Information that must be reported on a tender for annual maintenance includes company details, experience, references, proposed services, pricing, and any other relevant information requested by the organization.
Fill out your tender for annual maintenance online with pdfFiller!
pdfFiller is an end-to-end solution for managing, creating, and editing documents and forms in the cloud. Save time and hassle by preparing your tax forms online.
Tender For Annual Maintenance is not the form you're looking for?Search for another form here.
Relevant keywords
Related Forms
If you believe that this page should be taken down, please follow our DMCA take down process
here
.
This form may include fields for payment information. Data entered in these fields is not covered by PCI DSS compliance.