Get the free Summer classes open for registration - College of the Mainland
Show details
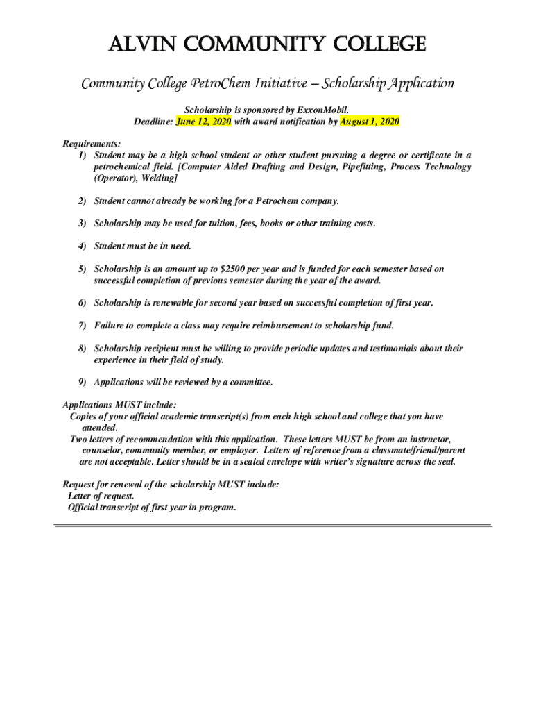
Alvin Community College Petroleum Initiative Scholarship Application Scholarship is sponsored by ExxonMobil. Deadline: June 12, 2020, with award notification by August 1, 2020, Requirements: 1) Student
We are not affiliated with any brand or entity on this form
Get, Create, Make and Sign summer classes open for
Edit your summer classes open for form online
Type text, complete fillable fields, insert images, highlight or blackout data for discretion, add comments, and more.
Add your legally-binding signature
Draw or type your signature, upload a signature image, or capture it with your digital camera.
Share your form instantly
Email, fax, or share your summer classes open for form via URL. You can also download, print, or export forms to your preferred cloud storage service.
Editing summer classes open for online
Use the instructions below to start using our professional PDF editor:
1
Log into your account. In case you're new, it's time to start your free trial.
2
Prepare a file. Use the Add New button to start a new project. Then, using your device, upload your file to the system by importing it from internal mail, the cloud, or adding its URL.
3
Edit summer classes open for. Add and replace text, insert new objects, rearrange pages, add watermarks and page numbers, and more. Click Done when you are finished editing and go to the Documents tab to merge, split, lock or unlock the file.
4
Save your file. Select it from your list of records. Then, move your cursor to the right toolbar and choose one of the exporting options. You can save it in multiple formats, download it as a PDF, send it by email, or store it in the cloud, among other things.
With pdfFiller, dealing with documents is always straightforward. Now is the time to try it!
Uncompromising security for your PDF editing and eSignature needs
Your private information is safe with pdfFiller. We employ end-to-end encryption, secure cloud storage, and advanced access control to protect your documents and maintain regulatory compliance.
How to fill out summer classes open for
How to fill out summer classes open for
01
Check your school or college's website for information on summer classes.
02
Look for the specific courses being offered during the summer session.
03
Note the registration deadlines and instructions on how to enroll in the classes.
04
Gather any necessary documents or information required for registration.
05
Follow the registration process outlined by the institution to enroll in the summer classes.
Who needs summer classes open for?
01
Students looking to accelerate their academic progress or catch up on missed credits.
02
Professionals seeking to upskill or gain additional qualifications during the summer break.
03
Individuals interested in exploring new subjects or hobbies in a more relaxed setting.
Fill
form
: Try Risk Free
For pdfFiller’s FAQs
Below is a list of the most common customer questions. If you can’t find an answer to your question, please don’t hesitate to reach out to us.
How can I manage my summer classes open for directly from Gmail?
summer classes open for and other documents can be changed, filled out, and signed right in your Gmail inbox. You can use pdfFiller's add-on to do this, as well as other things. When you go to Google Workspace, you can find pdfFiller for Gmail. You should use the time you spend dealing with your documents and eSignatures for more important things, like going to the gym or going to the dentist.
How can I get summer classes open for?
With pdfFiller, an all-in-one online tool for professional document management, it's easy to fill out documents. Over 25 million fillable forms are available on our website, and you can find the summer classes open for in a matter of seconds. Open it right away and start making it your own with help from advanced editing tools.
How do I fill out the summer classes open for form on my smartphone?
Use the pdfFiller mobile app to fill out and sign summer classes open for. Visit our website (https://edit-pdf-ios-android.pdffiller.com/) to learn more about our mobile applications, their features, and how to get started.
What is summer classes open for?
Summer classes are open for students who wish to continue their education during the summer months.
Who is required to file summer classes open for?
Summer classes are open for all students who meet the eligibility criteria set by the institution offering the classes.
How to fill out summer classes open for?
To fill out summer classes, students need to register for the desired courses through the institution's registration system.
What is the purpose of summer classes open for?
The purpose of summer classes is to allow students to catch up on credits, get ahead in their coursework, or explore new subjects during the summer break.
What information must be reported on summer classes open for?
Information such as course name, instructor, schedule, location, and fees must be reported on summer classes open for.
Fill out your summer classes open for online with pdfFiller!
pdfFiller is an end-to-end solution for managing, creating, and editing documents and forms in the cloud. Save time and hassle by preparing your tax forms online.
Summer Classes Open For is not the form you're looking for?Search for another form here.
Relevant keywords
Related Forms
If you believe that this page should be taken down, please follow our DMCA take down process
here
.
This form may include fields for payment information. Data entered in these fields is not covered by PCI DSS compliance.