Get the free Central Parent-Student Handbook
Show details
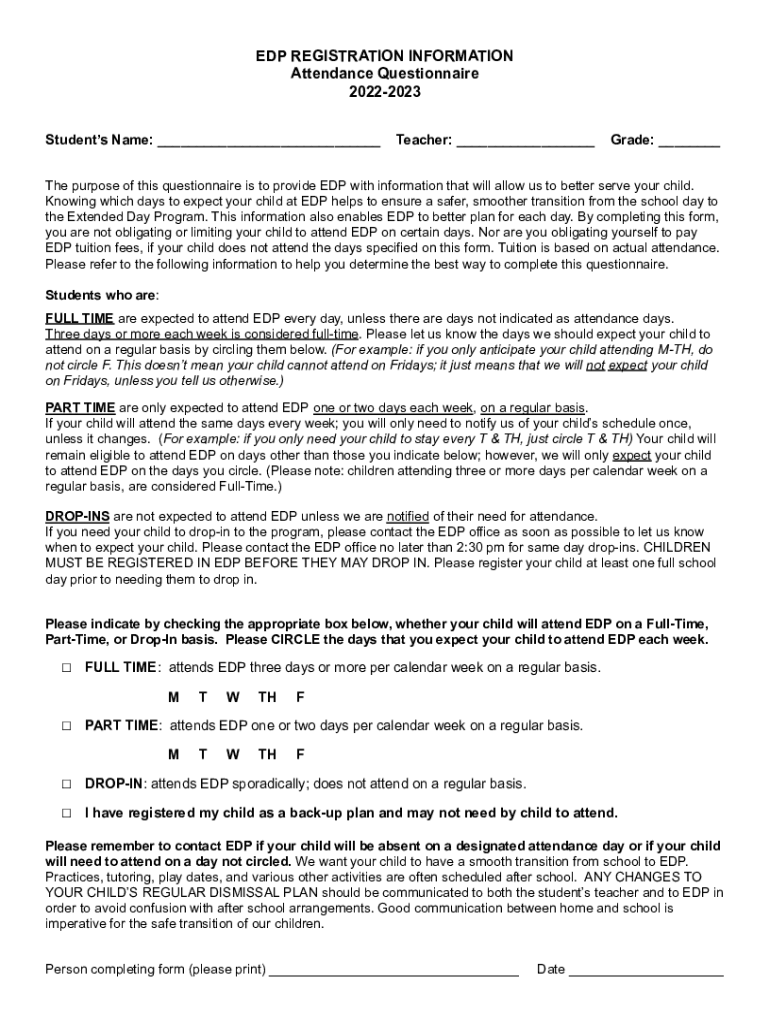
EDP REGISTRATION INFORMATION Attendance Questionnaire 20222023 Students Name: ___Teacher: ___Grade: ___The purpose of this questionnaire is to provide EDP with information that will allow us to better
We are not affiliated with any brand or entity on this form
Get, Create, Make and Sign central parent-student handbook
Edit your central parent-student handbook form online
Type text, complete fillable fields, insert images, highlight or blackout data for discretion, add comments, and more.
Add your legally-binding signature
Draw or type your signature, upload a signature image, or capture it with your digital camera.
Share your form instantly
Email, fax, or share your central parent-student handbook form via URL. You can also download, print, or export forms to your preferred cloud storage service.
Editing central parent-student handbook online
Here are the steps you need to follow to get started with our professional PDF editor:
1
Create an account. Begin by choosing Start Free Trial and, if you are a new user, establish a profile.
2
Prepare a file. Use the Add New button to start a new project. Then, using your device, upload your file to the system by importing it from internal mail, the cloud, or adding its URL.
3
Edit central parent-student handbook. Rearrange and rotate pages, add and edit text, and use additional tools. To save changes and return to your Dashboard, click Done. The Documents tab allows you to merge, divide, lock, or unlock files.
4
Save your file. Select it from your records list. Then, click the right toolbar and select one of the various exporting options: save in numerous formats, download as PDF, email, or cloud.
Dealing with documents is always simple with pdfFiller. Try it right now
Uncompromising security for your PDF editing and eSignature needs
Your private information is safe with pdfFiller. We employ end-to-end encryption, secure cloud storage, and advanced access control to protect your documents and maintain regulatory compliance.
How to fill out central parent-student handbook
How to fill out central parent-student handbook
01
Read the table of contents to familiarize yourself with the topics covered in the handbook.
02
Review the rules and guidelines outlined for both parents and students.
03
Fill out any required forms or information sections provided in the handbook, such as emergency contact information or media release forms.
04
Sign and date any necessary sections to confirm that you have read and understood the contents of the handbook.
05
Keep the handbook in a safe and easily accessible place for future reference as needed.
Who needs central parent-student handbook?
01
Parents of students attending the central school
02
Students enrolled at the central school
Fill
form
: Try Risk Free
For pdfFiller’s FAQs
Below is a list of the most common customer questions. If you can’t find an answer to your question, please don’t hesitate to reach out to us.
How can I edit central parent-student handbook from Google Drive?
Simplify your document workflows and create fillable forms right in Google Drive by integrating pdfFiller with Google Docs. The integration will allow you to create, modify, and eSign documents, including central parent-student handbook, without leaving Google Drive. Add pdfFiller’s functionalities to Google Drive and manage your paperwork more efficiently on any internet-connected device.
Where do I find central parent-student handbook?
It's simple with pdfFiller, a full online document management tool. Access our huge online form collection (over 25M fillable forms are accessible) and find the central parent-student handbook in seconds. Open it immediately and begin modifying it with powerful editing options.
Can I create an electronic signature for signing my central parent-student handbook in Gmail?
With pdfFiller's add-on, you may upload, type, or draw a signature in Gmail. You can eSign your central parent-student handbook and other papers directly in your mailbox with pdfFiller. To preserve signed papers and your personal signatures, create an account.
What is central parent-student handbook?
Central parent-student handbook is a document that outlines the rules, regulations, policies, and procedures for parents and students within a school district.
Who is required to file central parent-student handbook?
The school district administration is required to file the central parent-student handbook.
How to fill out central parent-student handbook?
The central parent-student handbook can be filled out by including all the necessary information regarding school rules, policies, procedures, and contact information.
What is the purpose of central parent-student handbook?
The purpose of the central parent-student handbook is to provide a comprehensive guide for parents and students on the expectations and guidelines within the school district.
What information must be reported on central parent-student handbook?
The central parent-student handbook must include information on school policies, rules, regulations, procedures, contact information, and any other relevant details.
Fill out your central parent-student handbook online with pdfFiller!
pdfFiller is an end-to-end solution for managing, creating, and editing documents and forms in the cloud. Save time and hassle by preparing your tax forms online.
Central Parent-Student Handbook is not the form you're looking for?Search for another form here.
Relevant keywords
Related Forms
If you believe that this page should be taken down, please follow our DMCA take down process
here
.
This form may include fields for payment information. Data entered in these fields is not covered by PCI DSS compliance.